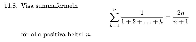
2
svar
48
visningar
Klurigt bevis

Tips på hur jag visar den här likheten för n+1?
Induktion passar nog bäst här. :)
Eller skriv summan 1+...+k på sluten form och partialbråkuppdela.