1
svar
137
visningar
knäcka



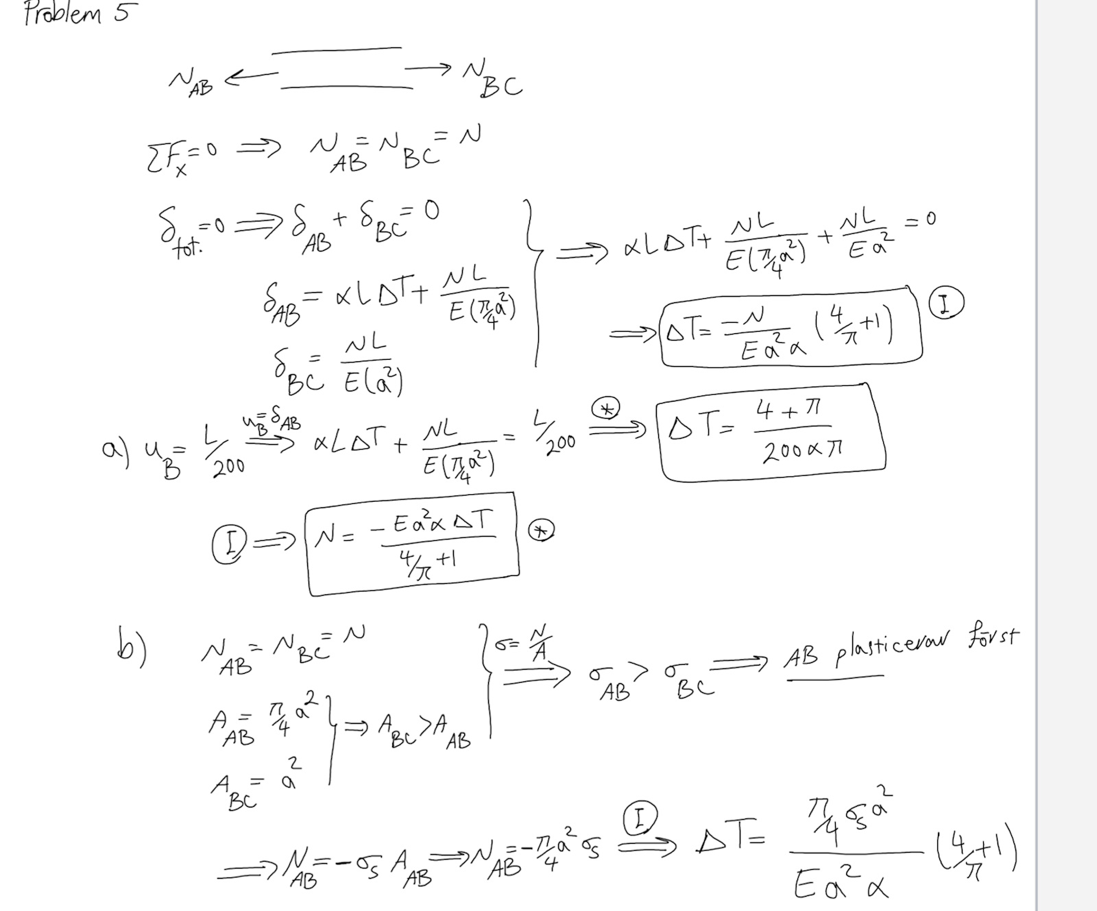
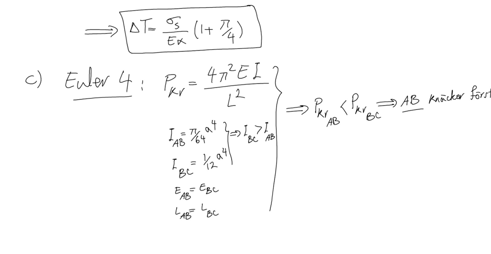
Hej!
Jag har en fråga om uppgift C. Hur vet man att del AB knäcker Först? borde det inte vara tvärtom att den delen med större P kr knäcker Först? det låter fel för mig här i facit
Tryckkraften N är samma i AB och BC. "Motståndet" mot knäckning är proportionellt mot I (EI/L2).
I är mindre i AB så för samma ökande kraft N knäcker denna del först.