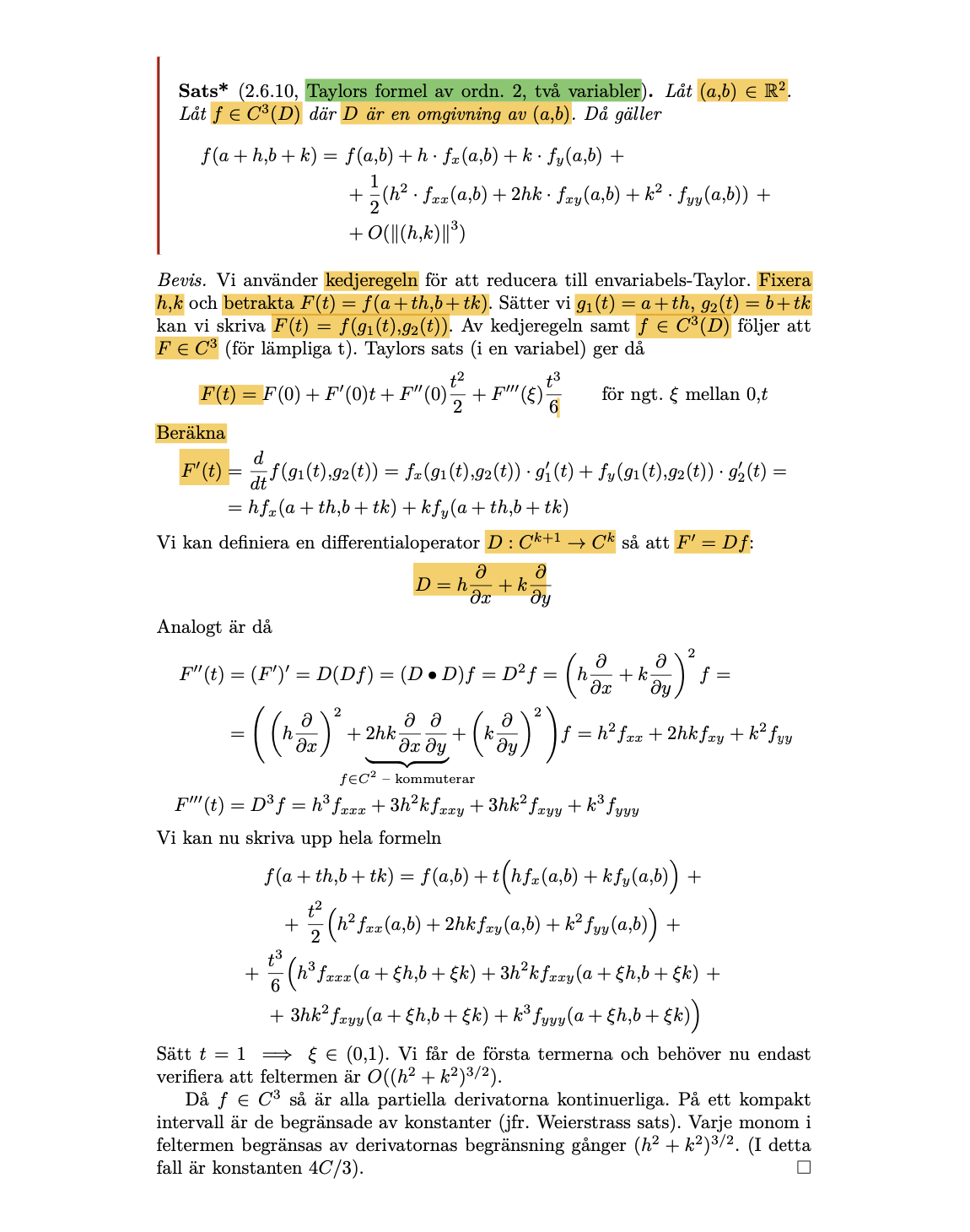
Knepigt sista steg i bevis av Taylors formel (ordn 2) för flera variabler
Detta är ett bevis för Taylors formel ordn 2 i flera variabler:

Jag förstår inte riktigt det sista steget där Ordotermen motiveras. Någon som kan förklara det på ett annat sätt? Jag vill förstå varför det blir just .
Jag antar att eftersom (den euklidiska normen) så är .
Ja, okej. Men förstår inte hur det motiveras här, eller vad man behöver göra för att motivera det?
Det behövs inte mer än definitionen av den Euklidiska normen , eller hur tänker du? Satsen säger att det finns ett fel och i beviset används definitionen.
Ja, men i sista steget verkar det hända något annat när de verifierar feltermen. Jag förstår dock inte riktigt vad.
En funktion g är då om det finns en omgivning till origo och ett positivt tal M sådant att närhelst ligger i omgivningen.
Eftersom tredjederivatorna till f är kontinuerliga i någon omgivning till (a, b) så kan man hitta någon kompakt omgivning till (a, b) där derivatorna är kontinuerliga och därmed begränsade. Det finns därför en omgivning till sådan att derivatorna i resttermen är begränsade funktioner av .
Om B är begränsad i någon omgivning till origo så gäller det att är . Det följer av att .
.
På liknande sätt kan man resonera på de andra termerna i resten.
Hur gick det med denna? Blev det klart som korvspad?
Hade förträngt uppgiften. Så tack för påminnelsen trots att jag har lite PTSD. Skämt åsido så sammanfattar jag allt till:
Bara "vanlig ordo" gör att allt begränsas av något ^3. Och detta något råkar vara normen av (h, k) vilket fortfarande är lite oklart när jag kollar på den grisiga parentesen.
Det är frågan om definition.
Att en funktion g(h, k) är O(||(h, k)||3) (då (h, k) går mot (0, 0)) innebär per definition att det finns en omgivning B till (0, 0) och en positiv konstant M sådan att
|g(h, k)| M||(h, k)||3 närhelst (h, k) ligger i B.
Säg att du har g(h, k) = h3F(h, k), där F är en funktion som är begränsad i B, dvs |F(h, k)| C för alla (h, k) i B. Då är g(h, k) O(||(h, k)||3). Det följer av att |h| ||(h, k)||.
Klart så långt?
Jahaaaaaa, hela funktionen beror ju på (h,k) .... Det var illa.
Tackar tackar.