1
svar
119
visningar
Am00 behöver inte mer hjälp
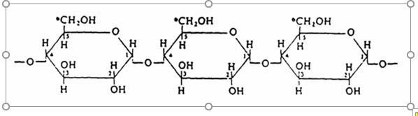
Vilken är kolhydraten?
Hej!
Jag behöver hjälp med att veta vilken kolhydrat det är på bilden.


Visst är det så att både är polysackariden, amylos?
Är den ovan, polysackariden: cellulosa?
1:a och 2:a bilden är det mellan glukosmonomererna, vilket stämmer att det är amylos.
3: bilden är det mellan glukosmonomererna, där det som du skrev är cellulosa.
Är du med på att det är bindningarna du kan titta på mellan enheterna och om -delen är på samma eller olika sidor om varannan enhet.