Kollission i en vägkorsning
Hur rimligt är antagandet att man kan bortse från friktionskrafter under kollisionsögonblicket när två bilar kolliderar i en vägkorsning och därefter fastanr de i varandra? Anta att bilplåten trycks ihop 10 cm vid kollisionen.

Så här har jag tänkt:
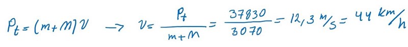
Först antar jag att friktionskrafterna är försumbara. Med det antagandet kan jag använda mig av lagen om rörelsemängdens bevarande:

Hastigheten efter kollisionnen blir då:

Med avseende på hastigheterna före och efter kollisionen kan vi räkna ut energiförlusterna:

Nu undrar jag hur man ska räkna ut värmeenergin som orsakas av friktionen? Ska man anta att bilarna åker i väg en viss sträcka, säg 50 m, efter kollissionen och sen räkna ut värmenergin geonm sambandet E(värme)= W=F.d ?
"Bortse från friktionskrafter under kollisionsögonblicket" skulle jag tolka som att ingen bromsar just då. Säg att själva kollisionen, dvs materialdeformationer rörelseriktningsförändringar etc, tar 1 sekund. Du har räknat ut Pföre och Pefter denna sekund. Du har också räknat ut hur stor den kinetiska energiförlusten är. Frågan är då hur mycket av de 170kJ som har blivit värme (=värmeenergi). Jag skulle säga att det inte är totalt orimligt att säga att allt har blivit värme. Bockade plåtar blir t.ex. varma. Lite energi blev förståss ljud (som i sin tur blir värme lite senare) men det är helt försumbart i sammanhanget.
räkna ut värmeenergin som orsakas av friktionen
Här menas förmodligen friktionen som orsakas av materialdeformationen dvs precis det jag beskrev ovan, så jag skulle svara ca 170kJ. Tänk på antalet värde siffror i svaret. I denna uppgift har vi grova approximationer och förenklingar, så inte för många värdesiffror här.
Edit:
Ja, du hade en fråga också 😋
Hur rimligt är antagandet att man kan bortse från friktionskrafter under kollisionsögonblicket
Om vi betonar ögonblicket (det som jag satte till 1s ovan) så är det ganska rimligt, framförallt om ingen har hunnit bromsa. Även om man bromsar så är kraft gånger väg ganska lite, kanske. Sen är det lite oklart vad de menar med friktion. Det är ju inte rimligt om man räknar deformationsvärme som varandes orsakat av friktion. Då har man ju 170kJ som kommer av friktion och det är inte försumbart. Men jag tror som sagt att de i den citerade meningen menar bromsfriktion.
Peter skrev:"Bortse från friktionskrafter under kollisionsögonblicket" skulle jag tolka som att ingen bromsar just då. Säg att själva kollisionen, dvs materialdeformationer rörelseriktningsförändringar etc, tar 1 sekund. Du har räknat ut Pföre och Pefter denna sekund. Du har också räknat ut hur stor den kinetiska energiförlusten är. Frågan är då hur mycket av de 170kJ som har blivit värme (=värmeenergi). Jag skulle säga att det inte är totalt orimligt att säga att allt har blivit värme. Bockade plåtar blir t.ex. varma. Lite energi blev förståss ljud (som i sin tur blir värme lite senare) men det är helt försumbart i sammanhanget.
räkna ut värmeenergin som orsakas av friktionen
Här menas förmodligen friktionen som orsakas av materialdeformationen dvs precis det jag beskrev ovan, så jag skulle svara ca 170kJ. Tänk på antalet värde siffror i svaret. I denna uppgift har vi grova approximationer och förenklingar, så inte för många värdesiffror här.
Edit:
Ja, du hade en fråga också 😋
Hur rimligt är antagandet att man kan bortse från friktionskrafter under kollisionsögonblicket
Om vi betonar ögonblicket (det som jag satte till 1s ovan) så är det ganska rimligt, framförallt om ingen har hunnit bromsa. Även om man bromsar så är kraft gånger väg ganska lite, kanske. Sen är det lite oklart vad de menar med friktion. Det är ju inte rimligt om man räknar deformationsvärme som varandes orsakat av friktion. Då har man ju 170kJ som kommer av friktion och det är inte försumbart. Men jag tror som sagt att de i den citerade meningen menar bromsfriktion.
Bromsfriktionen ska då utföra ett arbete som kan räknas ut som följande:
Då kan man dra slutsatsen att i och med 1,51 << 171,5 kJ är friktionskrafterna under kollissionen försumbara. Eller?
Jag trodde att det var du som undrade över rimligheten men det var alltså en del av frågan. Då kanske jag ska fundera en runda till.
Ja, det ser rimligt ut tycker jag. Du antar att man har fullt utvecklad friktion under kollisionsögonblicket och att hela ekipaget rör sig 10cm. Egentligen vet vi inget om hur långt bilarna tror sig under kollisionen. Vi vet bara att "bilplåten trycks ihop 10 cm". Lite oklart om det är 10 cm på bägge bilar eller om det är 10cm totalt. Givet informationen i uppgiften så tycker jag att dina antaganden är bra. Slutsatsen är också korrekt men använd inte så många värdesiffror i slutsatsen.
Att använda för många värdesiffror antyder att man inte har koll på vad man pratar om. De det är t.ex. ingen som säger att hen är 1,6354 m lång. Alla förstår att det är meningslöst att ange en kroppslängd med så många siffror. Det är likadant i alla andra uppgifter som beskriver verkligheten.
Peter skrev:Jag trodde att det var du som undrade över rimligheten men det var alltså en del av frågan. Då kanske jag ska fundera en runda till.
Ja, det ser rimligt ut tycker jag. Du antar att man har fullt utvecklad friktion under kollisionsögonblicket och att hela ekipaget rör sig 10cm. Egentligen vet vi inget om hur långt bilarna tror sig under kollisionen. Vi vet bara att "bilplåten trycks ihop 10 cm". Lite oklart om det är 10 cm på bägge bilar eller om det är 10cm totalt. Givet informationen i uppgiften så tycker jag att dina antaganden är bra. Slutsatsen är också korrekt men använd inte så många värdesiffror i slutsatsen.
Att använda för många värdesiffror antyder att man inte har koll på vad man pratar om. De det är t.ex. ingen som säger att hen är 1,6354 m lång. Alla förstår att det är meningslöst att ange en kroppslängd med så många siffror. Det är likadant i alla andra uppgifter som beskriver verkligheten.
Hahahah..Ja, det var egentiligen kärnan i frågan.
Tack! Det ska jag komma ihåg, det där med värdesiffror.