2
svar
109
visningar
Kolonrummet
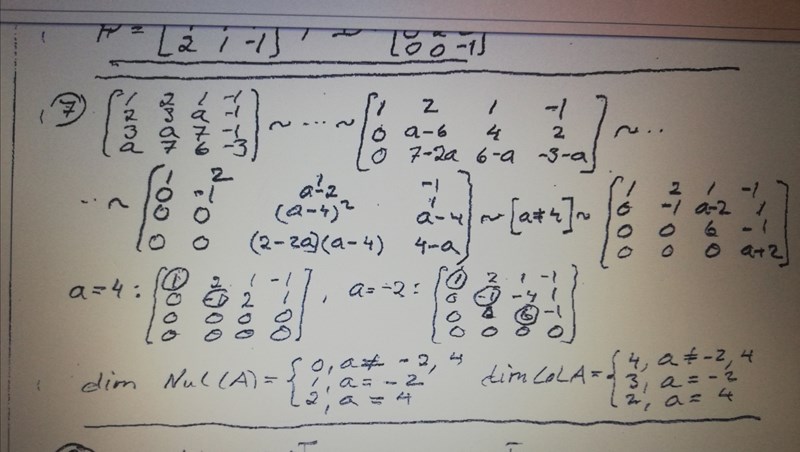
Hej, jag behöver hjälp med denna uppgiften


Jag undrar på värför är dimension av kolonrummet lika med 4 då a är inte lika med 2. Alltså som vi ser på matrisen i lösningan är innehåller pivåkolonnen nummer 3 pivåelementen( a-4) i kvadrat. Och pivåkolonnen nummer 4 innehåller pivåelementen(4-a). Så hur beror dessa värden på att a inte ska vara lik - 2 för att vi ska ha 4 pivåkolonnen.
De tar bort 4 som lösning först, sen delar de sista raderna på a-4 eller liknande och fortsätter komma fram till den längst till höger. Där ser du tydligt att sista raden blir 0 om a= - 2