Kolvens hastighet och acceleration i det ögonblick enl figur


I kinematik uppgifter talar man om konstant vinkelhastighet och då brukar jag tänka att den är 0 när man ska ta reda på accelerationen trots att det är vinkelaccelerationen som är det och ej vinkelhastighet. Det har varit en del trådar där man inte ska anta att vinkelaccelerationen är 0 bara för att det existerar en vinkelhastighet,sen kanske det beror på om uppgiften säger konstant vinkelhastighet eller bara att tex något roterar med vinkelhastighet. Då blir situationen annorlunda. Ta denna tråd nedan som ett exempel. Där ser vi bara att cylindern rullar med någon vinkelhastighet som vi ej vet om den är konstant eller inte (vi kan ej anta vinkelaccelerationen är 0). Är det alltid såhär man ska tänka ?
https://www.pluggakuten.se/trad/bestam-punkten-d-s-hastighet-och-acceleration-pa-hjulet/
Du antar att vinkelhastigheten för den andra länken är lika stor som för den första. Varför gör du det?
Kolven B kan bara röra sig i x-led så både hastighet och acceleration för B måste vara i x-led. Dina svar uppfyller inte detta, så det borde vara klart omedelbart att något gått fel.
Vinkelaccelerationen är tidsderivatan av vinkelhastigheten. Så om vinkelhastigheten är konstant så är vinkelaccelerationen noll.
Gör om, gör rätt.
I det andra problemet så står det att hjulet accelererar, så vinkelhastigheten kan inte vara konstant.
PATENTERAMERA skrev:Du antar att vinkelhastigheten för den andra länken är lika stor som för den första. Varför gör du det?
Kolven B kan bara röra sig i x-led så både hastighet och acceleration för B måste vara i x-led. Dina svar uppfyller inte detta, så det borde vara klart omedelbart att något gått fel.
Vinkelaccelerationen är tidsderivatan av vinkelhastigheten. Så om vinkelhastigheten är konstant så är vinkelaccelerationen noll.
Gör om, gör rätt.
Jag gör det för att jag inte känner till vinkelhastighet i B eller A , men sen använde jag ju A som referenspunkt. Mitt svar på vb är rätt då jag fick ett värde i ex, medan vb:s accelerationen så fick jag ex och ey komponent. Jag har dock inte tittat på facit så jag vet inte men såg en liknande uppgift i boken.
PATENTERAMERA skrev:I det andra problemet så står det att hjulet accelererar, så vinkelhastigheten kan inte vara konstant.
Ja ok det beror alltså på problemet. Men man kan tro att bara för att den accelerar så är den konstant pga det är samma w hela tiden på figuren. I den här uppgiften rör sig inte länken OA så dess vinkelhastighet är då konstant.
Den är konstant men inte noll. Så den första länken roterar med vinkelhastigheten w1. Så en jämn konstant rotation som sekundvisaren på en (vissa) klockor.
PATENTERAMERA skrev:Den är konstant men inte noll. Så den första länken roterar med vinkelhastigheten w1. Så en jämn konstant rotation som sekundvisaren på en (vissa) klockor.
Aa ok.
Jag tror att jag har helt fel när det kommer till a_B enligt min lösning nedan. Det ser dock rätt ut när det gäller v_B.

Som jag sa, både hastighet och acceleration hos B skall vara i ex-riktningen. Läs frågan. Får du något annat så är det ett uppenbart fel.
Antag inte att den andra länken har samma vinkelhastighet som den första länken. Det har den normalt inte.
Du vet att vB = (någonting)ex och att aB = (någonting annat)ex. Utnyttja detta.
PATENTERAMERA skrev:Som jag sa, både hastighet och acceleration hos B skall vara i ex-riktningen. Läs frågan. Får du något annat så är det ett uppenbart fel.
Antag inte att den andra länken har samma vinkelhastighet som den första länken. Det har den normalt inte.
Du vet att vB = (någonting)ex och att aB = (någonting annat)ex. Utnyttja detta.
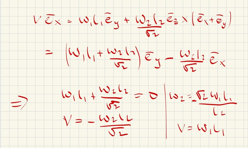
Ja jag vet, vb har jag redan fått fram och a_b blir bara derivatan av v_b. Jag vet inte om du vill att jag går så långt att jag tar reda på vinkelhastighet för länken AB för det frågades inte.
Vad får du vB till?
PATENTERAMERA skrev:Vad får du vB till?
#8. Detta är ju fel så jag vet inte om man ska ställa upp ett ekvationssystem för att få fram w2 som gäller för länken AB mha hastighetssambandet
Som sag, om du inte får vB = (någonting)ex så har du gjort fel.
PATENTERAMERA skrev:Som sag, om du inte får vB = (någonting)ex så har du gjort fel.
För att få v_b så behöver man en vinkelhastighet och den är okänd justnu.
Du bestämmer den genom att utnyttja att vB måste vara i x-riktningen. Dvs vB = vex för något värde v, som i nuläget är obekant, men som kan bestämmas.
. Från detta kan du räkna ut vad v och skall vara.
PATENTERAMERA skrev:. Från detta kan du räkna ut vad v och skall vara.
Först w2 och sen vb?
PATENTERAMERA skrev:I det andra problemet så står det att hjulet accelererar, så vinkelhastigheten kan inte vara konstant.
Om hjulet accelererar så innebär det då att vinkelhastigheten inte är konstant eftersom den varierar och därmed förändras vinkelaccelerationen också eftersom den beror av vinkelhastigheten.
Den är i alla fall inte noll.
PATENTERAMERA skrev:Den är i alla fall inte noll.
Vad är inte 0?
Vinkelaccelerationen.
PATENTERAMERA skrev:Vinkelaccelerationen.
Nej precis den är inte det om w varierar och ej är konstant.
