3 svar
176 visningar
sortedsofie behöver inte mer hjälp
sortedsofie 41
Postad: 3 jun 2021 19:49

Kombinationer av Fyra Bilar

Uppgiften lyder som följande:

"På hur många sätt kan du köpa 10 bilar om det finns volvo, bmw, honda och peugot att välja mellan"

 

Hur ska jag börja tänka på uppgiften? Vet inte vart jag ska börja.

Smaragdalena 78892 – Avstängd
Postad: 3 jun 2021 20:13

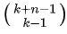
Ten här typen av uppgifter brukar kallas "stars and bars"

sortedsofie 41
Postad: 3 jun 2021 20:26

Jag använde formeln och fick då rätt svar. Men jag förstår inte hur jag ska komma fram till den formeln. Den står tex ej i formelbladet.

Smaragdalena 78892 – Avstängd
Postad: 3 jun 2021 20:51

Tycker du inte att förklaringen i Wikipediaartikeln var tillräckligt tydlig? Vad är det som är oklart? Det är en vanlig "välj x stycken av y olika", d v s kombinationer, det speciella är hur man skall välja "x" respektive "y" i uppgiften.

Svara
Close