Kombinatorik
Hej, jag skulle behöva hjälp med denna uppgift..
(a) Hur många åtta-siffriga tal kan bildas genom att kasta om siffrorna
1 1 2 3 3 3 5 9 ?
Denna fick jag svaret 3 360, vilket var rätt.
(b) Hur många av dessa tal är större än 23 000 000 ?Svaren skall förenklas till heltal.
Denna gick inte alls lika bra.. Jag tänkte att 1:orna kan jag inte använda på plats 1 siffer serien. 1:or och 2:or kan jag inte använda i andra siffer serien. Och nu när jag skriver detta inser jag att jag inte kan använda t.ex. (6 1) alltså, "6 välj 1", eftersom ordningen faktiskt spelar roll. Men förstår inte hur de tänker i facit..
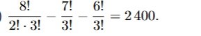
SVaret är 
Du är på rätt väg. Jag tror det är lättast att räkna de kombinationer som blir mindre än 23 miljoner, och sedan subtrahera dessa från totalen i (a).
Ledtråd: Vad måste gälla för de första siffrorna om talet ska vara mindre än 23 miljoner? Det finns två möjligheter:
- Antingen är första siffran 1, och då har vi 7 siffror kvar att ordna efter ettan; för varje sätt vi ordnar dessa 7 kvarvarande siffror bildas ett tal mindre än 23 miljoner;
- eller så är första siffran 2 och andra siffran 1, och då har vi 6 siffror kvar att placera ut. (Varför finns det inga andra möjligheter?)