Komma åt vinkeln area via omkretsen

Den här gången tänker jag inte bråka med faciten, som säger att information är otillräckligt.
Finns det en sätt att räkna den storsta möjliga area? Om sidorna är a, b och c, och a är den längsta, b och c måste väl ha en max längst eller hur (b och c måste väl toucha händer så att triangel byggs, dvs b+c > c)?
Kan man derivera eller göra något triangel sats för att komma på den max möjliga area med en 36 cm omkrets?
För att maximera triangelns area med given omkrets bör den göras så kompakt som möjligt. Det blir en liksidig triangel med alla sidor 12 cm. Denna area är en övre gräns.
Arean kan bli hur liten som helst om man låter en vinkel vara nästan 180 grader.
Dr. G skrev :För att maximera triangelns area med given omkrets bör den göras så kompakt som möjligt. Det blir en liksidig triangel med alla sidor 12 cm. Denna area är en övre gräns.
Så liksidiga triangler är alltid störst area! Hur bevisas det?
Derivata, eller symmetrilinje om man har läst Ma2 men inte Ma3.
Ett alternativ är att resonera sig fram till det hela.
Den tvådimensionella geometriska form som innesluter störst area med hjälp av en given rand är en cirkel.
För månghörningar gäller att den form som innesluter störst area med hjälp av en given rand är då månghörningen är så lik en cirkel som möjligt. Det resulterar alltid i liksidiga månghörningar:
- Liksidiga hexagoner (sexhörningar) - bikupor
- Liksidiga pentagoner (femhörningar) - blommor, sjöstjärnor
- Kvadrater
- Liksidiga trianglar (fackverk).
Och så vidare
Undrar dock om det går med derivata, utan att det blir flervariabelanalys. Man har ju två frihetsgrader.
Tack Yngve, den här förklaringen gillar jag!
@ Smaragdalena: tack också! Kan du utveckla derivata grejen? Vi har ju 3 olika sidor... Vilket ska man deriverar och hur skulle funktionen ser ut? Och symmetri linjen, hur används det i den här fallet?
Det kan hända att det var en likbent triangel jag tänkte på - i så fall blir det ganska enkelt. Hmmm...Om alla sidorna är olika blir det krångligare än jag hade tänkt mig.
Isf blir det kanske:
2x+y=36
y=36-2x
Om man deriverar får man -2. Kan du visa hur man gör rätt?
Använd Pythagoras sats för att räkna ut höjden h som en funktion av x. Triangelns area = x*h(x)/2. Derivera och sätt derivatan lika med 0. Beräkna x.
Vänta nu, likbent på svenska det är väl när båda benen har samma längd, men basen är olika?
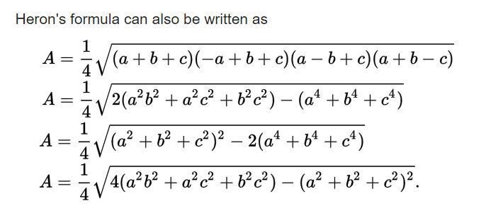
Medelst Herons formel erhålls (A = triangelns area):
Fås då a = b = c = 12
Då blir:
Samma area kan vi få fram medelst areaformeln:
Daja skrev :Vänta nu, likbent på svenska det är väl när båda benen har samma längd, men basen är olika?
Ja, så det skulle vara en enklare uppgift. tomast80 har en elegant formel som löser det ursprungliga problemet.
Eftersom detta är en uppgift på högskoleprovet där man bör lägga så lite tid som möjligt på den så tror jag inte att det är tänkt att man ska ställa upp och maximera ett uttryck för triangelns area.
Cirkelns area är dock "bara" c:a 26 % större än den liksidiga triangelns area, så man kan inte göra en alltför grov uppskattning för att säkert komma fram till rätt svar.
Man kan iofs inse att cirkelns area är större än 5*5*3 = 75 och en liksidig triangels area är mindre än 12*12/2 = 72.
Jag tänkte att man kan utgå från en liksidig triangel och med hjälp av Pythagoras sats och b*h/2 beräkna dess maximala area till ungefär 62 cm^2.
Cirkelns area är ungeför 75 cm^2.
Alltså är rätt svar B - cirkelns area är större än triangelns area.
Konstigt att det är så mycket fel i facit.
Yngve skrev :Eftersom detta är en uppgift på högskoleprovet där man bör lägga så lite tid som möjligt på den så tror jag inte att det är tänkt att man ska ställa upp och maximera ett uttryck för triangelns area.
Yngve, det var inte ett förslag från min sida att i vid lösningen av uppgiften härleda att just en liksidig triangel maximerar arean. Det faktumet måste man såklart känna till på provet. Dock uppfattade jag det som att det efterfrågades en motivering till varför just en liksidig triangel ger störst area så det var svar på hur man skulle kunna gå tillväga för att härleda det.
tomast80 skrev :Medelst Herons formel erhålls (A = triangelns area):
Fås då a = b = c = 12
Ojojoojojojoj...
Ok så det är det vi talar om: https://en.wikipedia.org/wiki/Heron%27s_formula
Vad betyder pinnen: ?
Skulle du kunna förklara varför det blir 12? Det ser ut som en fruktansvärt multiplikation...

smaragdalena skrev :Använd Pythagoras sats för att räkna ut höjden h som en funktion av x.
Så
Hoppsan jag gillar inte hur den ser ut....
Triangelns area = x*h(x)/2. Derivera och sätt derivatan lika med 0. Beräkna x.
...
....

Jag vet inte hur man deriverar det....
tomast80 skrev :Yngve, det var inte ett förslag från min sida att i vid lösningen av uppgiften härleda att just en liksidig triangel maximerar arean. Det faktumet måste man såklart känna till på provet. Dock uppfattade jag det som att det efterfrågades en motivering till varför just en liksidig triangel ger störst area så det var svar på hur man skulle kunna gå tillväga för att härleda det.
Förlåt tomast80, min kommentar var inte riktad till dig utan det var mer en allmän reflektion.