Kommandon grafräknare
Hej,
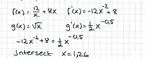
Behöver hjälp med att lära mig att slå kommandon på grafräknaren som jag har, har bara lärt mig grunderna men vet inte hur man gör detta. Har en TEXAS INSTRUMENTS TI-82 STATS
Se fråga/svar nedan.


Jag har en TI-84, men det borde vara ungefär samma process.
Du kan skriva in de två funktionerna du har vid y=
Du kan klicka på graph för att se graferna utritade (du kan ändra hur utzoomat koordinatfältet är på "zoom"). Sedan klickar du på 2nd och trace, vilket blir knappen calc. Där väljer du "intersect" och väljer de två funktionerna i koordinatfältet. Då borde räknaren berätta vart de skär varandra.
Hej Alex,
Tackar, men förstod inte riktigt. Funktionerna plottar man in men hur gör man för att skriva in prim/derivata av funktionerna och därefter kika i grafen och se intersec?
Mvh/H