Kompassnål magnetfält i vatten
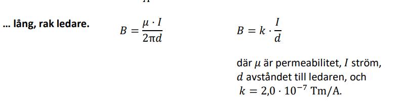
I formeln för magnetfältet från ledare dvs.

I formelbladet är permeabiliten för vatten 81. Borde det då inte bli B=4*10^-7*81*I/(2*pi*d). Varför är fortfarande permeabiliten samma som för luft??

Men i den här uppgiften befinner vi oss i vatten. Borde inte permeabiliteten bli
4*10^-7

Tabellen visar relativ permittivitet, inte relativ permeabilitet.
JohanF skrev:Tabellen visar relativ permittivitet, inte relativ permeabilitet.
Men det står inte realtiv permeabilitet i formelbladet. så hur gör jag då?
Det är en jättebra fråga! Kanske står det i din lärobok att luft och vatten har ungefär samma permeabilitet? (Om uppgiften är hämtad från en lärobok). Annars tycker jag att du ska fråga din lärare, eftersom iallafall jag tycker inte inte att det är någonting man ska förväntas kunna utantill.