Komplement händelse
”Hur stor är sannolikheten att det i en grupp på 30 personer finns minst två som har samma födelsedag?”
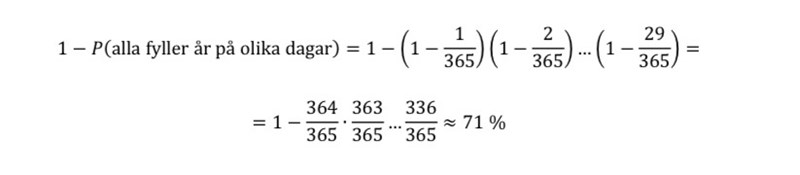
Då tänker jag att komplementet till minst två personer med samma födelsedag är att alla fyller på på olika dagar. Det ger mig P(minst två med samma)=1-P(alla fyller på olika).
Därifrån kollade jag i facit för att fatta vad jag skulle göra sen.
Först, varför tar man 1-(1/365) och 1-(2/365) osv. Andra frågan är finns det ingen formel för kombinationer man kan använda istället?
1 När den första personen fått sin födelsedag finns det bara 364 dagar kavar att välja på sen 363 etc
Person 1 kan fylla år på vilken dag som helst.
Person 2 kan fylla år på vilken dag som helst, utom på person 1:s födelsedag, d v s 364 av 365 dagar.
Person 3 kan fylla år på vilken dag som helst, utom på person 1:s eller person 2:s födelsedag, dvs 363 av 365 dagar.
Person 4 kan fylla pår på 362 av 365 dagar, och på liknande sätt fram till att person 30 kan fylla år på 336 av 365 dagar.
Är du med så långt?
Andra frågan är finns det ingen formel för kombinationer man kan använda istället?
Jag förstår inte det här letandet efter färdiga formler. I de allra flesta fall är det bättre att tänka själv istället.
2 Skulle väl vara
( n! = n*(n-1)*(n-2)*(n-3)* .... *2*1 )
matsC skrev:
2 Skulle väl vara
( n! = n*(n-1)*(n-2)*(n-3)* .... *2*1 )
Vad räknar du på nu? Exakt vilka dagar personerna fyller år?
Om man bara vill lösa uppgiften som den är skriven, så blir det just den uträkningen som finns beskriven i facit.