Komplex ekvation
Hej, jag har försökt med kvadratkomplettering för att sedan få ett komplicerat ekvationssystem, har försökt med en lösningsformel, men lyckas ändå inte få två rimliga lösningar på följande ekvation,
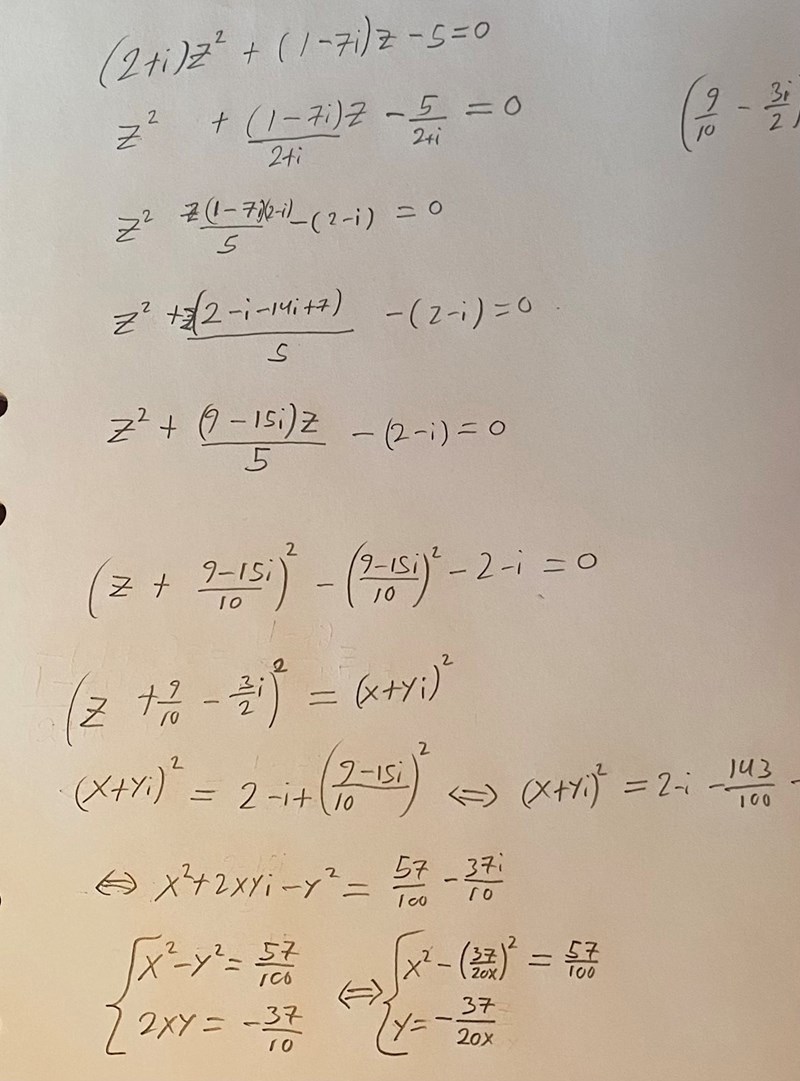
(2+i)z^2 + (1-7i)z -5 = 0
jag började med att dividera uttrycket med (2+i) för att sedan sätta z = x + yi, detta leder till ett jättekrångligt rotuttryck
förslag tack
Dela med (2 + i). Vad får du?
(1 - 7i)/(2 + i) = ...
5/(2 + i) = ...
Förenkla och sedan kan du kvadratkomplettera.
Dr. G skrev:Dela med (2 + i). Vad får du?
(1 - 7i)/(2 + i) = ...
5/(2 + i) = ...
Förenkla och sedan kan du kvadratkomplettera.
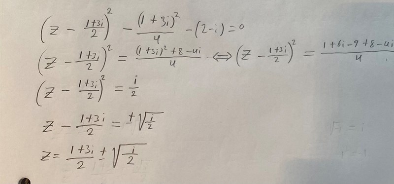
Kommer inte mycket längre efter det. om jag struntae i att dividera med (2+i) då blir det på följande sätt, men hur gör man nu?

Dela leden med (2 + i):
Lägg till och ta bort (1 + 3i)2/4
så
Förenkla.
Dr. G skrev:Dela leden med (2 + i):
Lägg till och ta bort (1 + 3i)2/4
så
Förenkla.
Får inte samma uttryck som du får efter delning
även om jag inte får som du kommer jag fram till tal som dessa..
Hjälp uppskattas, varit fast på den här i några dagar nu xD
Då ska vi se
och
Tack såhär långt.
Jag är med på vart jag slarvat, när jag följer där du lämnade hamnar jag på följande lösningar.
svaren ska vara z=i och z=1+2i
nu kan jag ansätta z=x+yi och lösa system av ekv antar jag är nästa steg
Ja, sätt
kvadrera och lös ekvationssystemet.
Annars finns ju möjligheten att gå via polär form.
Dr. G skrev:Ja, sätt
kvadrera och lös ekvationssystemet.
Annars finns ju möjligheten att gå via polär form.
Ser inte hur det hjälper att ansätta sqrt(i/2) = a + bi

För sedan när jag sätter in rötterna blir det ändå inte z=i och z=1+2i
Dr. G skrev:
Har slarvat för mycket på den här uppgiften, tack. Ska testa
Dr. G skrev:
Tack så jättemycket, förstår nu hue jag ska lösa. :)
Det du skrev var till stor hjälp