3
svar
51
visningar
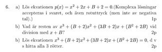
Komplex ekvation
Hej! Jag tror mig ha löst a) till men vet inte riktigt hur jag ska lösa b) och c)? Ska jag använda liggande stolen eller bryta ut någon variabel?
Kan du visa din lösning på a-uppgiften?
Aha, du skrev bara i trådstarten.
Men varifrån kommer i under rotenur-tecknet?
