Komplex impedans - ström framtagning
Hej, jag har försökt lösa uppgiften men det blir fel någonstans. Jag misstänker att omvandlingen mellan reell form till polär ställer till det. Var blir det fel:


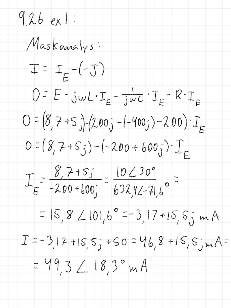
Kan man se mitt försök ?
Jodå, det är inte det som är problemet :-)
Jag kan inte se vad som är fel, men jag är lite ringrostig när det gäller polär representation.
En sak att se upp kan vara att spänningens amplitud är 10V och strömmens är 50mA. Men i polär form använder man väl effektivvärden, eller.
ThomasN skrev:Jodå, det är inte det som är problemet :-)
Jag kan inte se vad som är fel, men jag är lite ringrostig när det gäller polär representation.
En sak att se upp kan vara att spänningens amplitud är 10V och strömmens är 50mA. Men i polär form använder man väl effektivvärden, eller.
Yes, problemet var att när man tar fram fasvinkeln med hjälp av arctan(x) måste man sedan beroende på komplexa koordinationerna omvandla graderna till rätt kvadrant. När arctan() körs så kan den inte skilja på a+bj och -a-bj, inte heller -a+bj och a-bj vid divisionen a/b. Gud botade mina blinda ögon som inte såg detta
Fick du slutligen rätt resultat?
Jag förstår inte riktigt din beräkning, då du först verkar beräkna strömmen genom spänningskällan genom att ta bort strömkällan och sedan addera den på slutet. Strömmen från strömkällan går väl inte enbart genom kondensatorn?
Jan Ragnar skrev:Fick du slutligen rätt resultat?
Jag förstår inte riktigt din beräkning, då du först verkar beräkna strömmen genom spänningskällan genom att ta bort strömkällan och sedan addera den på slutet. Strömmen från strömkällan går väl inte enbart genom kondensatorn?
Jag har fått rätt svar. Utförde maskanalys och då fås rätt svar .