Komplex impendans beräkning
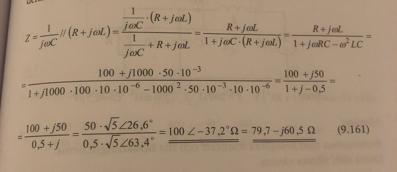
detta är första exemplet min bok ger på komplex impendans men jag förstår inte hur omvanligen i den sista raden gick till. Hur blev 100+j50=50*sqrt5 vinkel 26,6 och hur omvandlades nämnaren? Hur blev den slutliga vinkeln -37,2 grader?
om någon kan vara snäll och hjälpa igenom hela denna beräkning skulle det vara mycket hjälpsamt!
Gulnigar_yeye skrev:
detta är första exemplet min bok ger på komplex impendans men jag förstår inte hur omvanligen i den sista raden gick till. Hur blev 100+j50=50*sqrt5 vinkel 26,6 och hur omvandlades nämnaren? Hur blev den slutliga vinkeln -37,2 grader?
om någon kan vara snäll och hjälpa igenom hela denna beräkning skulle det vara mycket hjälpsamt!
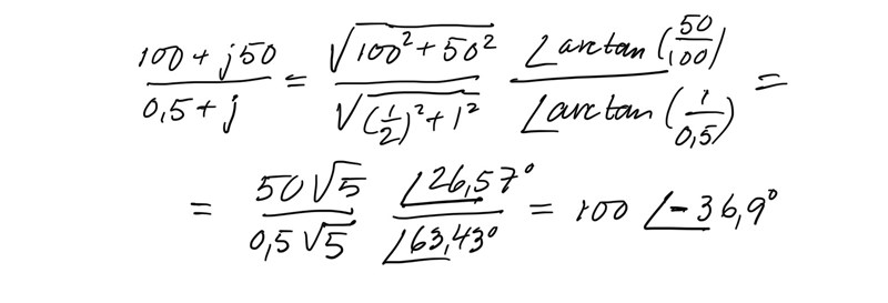
Dina lärare tror nog att du kommer ihåg från Ma4 hur man räknar med komplexa tal - framför allt att det är lättare att räkna division (och multiplikation) om man har sina tal skrivna på formen z = r(cos v + i sin v). Här har man först brutit ut faktorerna 50 respektive 0,5 från täljaren respektive nämnaren, och sedan använder man skrivsättet i stället för r(cos v +i sin v). Kommer du vidare med de här ledtrådarna?
Tack! nu förstår jag den omvandlingen. Jag kommer dock inte vidare med divisionen av graderna i det näst sista steget.
Det är också det jag får fram, innebär det att de har skrivit fel i boken med -37,2grader?
Ja, det har de.
Du kan skriva det ursprungliga uttrycket som 80 - j60, vilket har vinkeln arctan(-3/4) = -36,9˚
detta är första exemplet min bok ger på komplex impendans men jag förstår inte hur omvanligen i den sista raden gick till. Hur blev 100+j50=50*sqrt5 vinkel 26,6 och hur omvandlades nämnaren? Hur blev den slutliga vinkeln -37,2 grader?
