Komplex metod elkretsanalys

Hej!
Jag har precis börjat lära mig om komplex metod, men vet inte hur man ska använda den i en uppgift som den här. Skulke någon kunna hjälpa förklara/visa hur man ska göra?
Tack!
har du lärt dig metoden?
Med den kan du beskriva impedansen Z och få spänningen som i*Z
Det som skiljer från likströmskretsar är att impedansen är frekvensberoende och vi måste beräkna både belopp och fasvridning.
Men börja med att teckna impedansen med j-omegametoden
Ja har lärt mig lite om det. Det är väl dels att skriva om formeln till eulers formel? Ska jag börja med att skriva om spolen till jwL? Och sen addera med resistansen?
Det är ingen spole men väl en kondensator.
I övrigt är det rätt..
Skriv alltså Z (Resistans i serie med kondensator) med hjälp av j-omega och förenkla så långt som möjligt. (inget j i nämnaren)
Ja, råkade skriva spole 😅
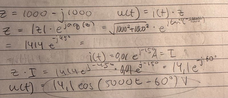
Så z = 1000 - j/wc. Och multiplicera det med i(t) så får man u(t)? Eller man behöver först skriva z i eulers formel?
med omega = 5000 och C = 0,2*10-6 insatt får vi
Z = 1000-j*1000 = 1000(1-j)
och u(t) = i(t)*Z
Sen kommer jag inte riktigt ihåg (det var ganska länge sen jag räknade på sånt här) hur man kommer vidare på bästa sätt, men jag tror att man kan ta beloppet av Z och argumentet Z dvs 1000*, resp -45 grader och få
u(t) = 10*1000**cos(5000t-15-45) mV eller: 10*cos(5000t-60)V
Men annars borde Euler fungera bra. Vad säger facit?
Finns det ngn annan som vet hur man gör?
Du fick rätt svar enligt facit! Men hur multiplicerade du ihop i(t) och z? Kan man bara lägga in absolutbeloppet och argumentet direkt in i i(t)? Jag försökte göra om z från kvadratisk till polär form för i(t) är väl polär? Men då multiplcierar man väl med antingen e^ eller cos 2 gånger?
tack för hjälp

Impedansen Z varierar inte med tiden.
Är det sista ledet i din uträkning helt rätt?
FriedEggplant skrev:Du fick rätt svar enligt facit! Men hur multiplicerade du ihop i(t) och z? Kan man bara lägga in absolutbeloppet och argumentet direkt in i i(t)? Jag försökte göra om z från kvadratisk till polär form för i(t) är väl polär? Men då multiplcierar man väl med antingen e^ eller cos 2 gånger?
tack för hjälp
Som jag skrev har jag inte den här kunskapen aktuell, men det jag gjorde var att behandla impedans och ström som två komplexa storheter som multipliceras ihop.
Med kända räkneregler för komplexa tal vet man att man kan addera argumenten och multiplicera beloppen i de två talen för att få produkten av de två. Det var det jag gjorde.
Men att visa att det gäller i det här fallet borde ingå i universitetsutbildningen, står det inget i det kursmaterial du har?
Tillägg: Som ThomasN skrev, sista raden i din uträkning ser konstig ut!
Jag skrev om z och i(t) till deras polära former och multiplicerade dom. Och lyckades få rätt svar!
tack så mycket för hjälpen
