Komplex vågbeskrivning och polariserat ljus
Hej! Jag undrar hur man går från 1 till 2.
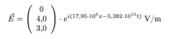
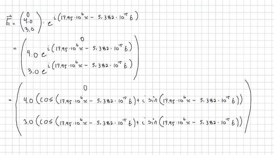
1:
2:
Jämför med mitt försök:

Var försvinner isin(v)?
2. är realdelen av 1.
E-fältet är en reell vektor, men det blir ofta enklare att räkna med en komplex vektor och sedan ta realdelen av den.
Okej, så vad beskriver då imaginärdelen om det egt inte finns en komplex vektor?
Megalomanen skrev:Okej, så vad beskriver då imaginärdelen om det egt inte finns en komplex vektor?
Vågrörelser har en fas, den imaginära delen kan användas för att hålla koll på fasskillnader.
okej, så vi använder inte imaginärdelen i vår vektor för att fasskillnader är inte relevant om man bara har en våg?
Megalomanen skrev:okej, så vi använder inte imaginärdelen i vår vektor för att fasskillnader är inte relevant om man bara har en våg?
Det kan vara fasskillnader mellan olika riktningar också, dubbelbrytning, optiskt aktiva media, magnetiska media, sådant som ändrar polarisationen.
Använd en bra bok.