Komplexa ekvationer
Hej! Jag undrar vad som blir fel:

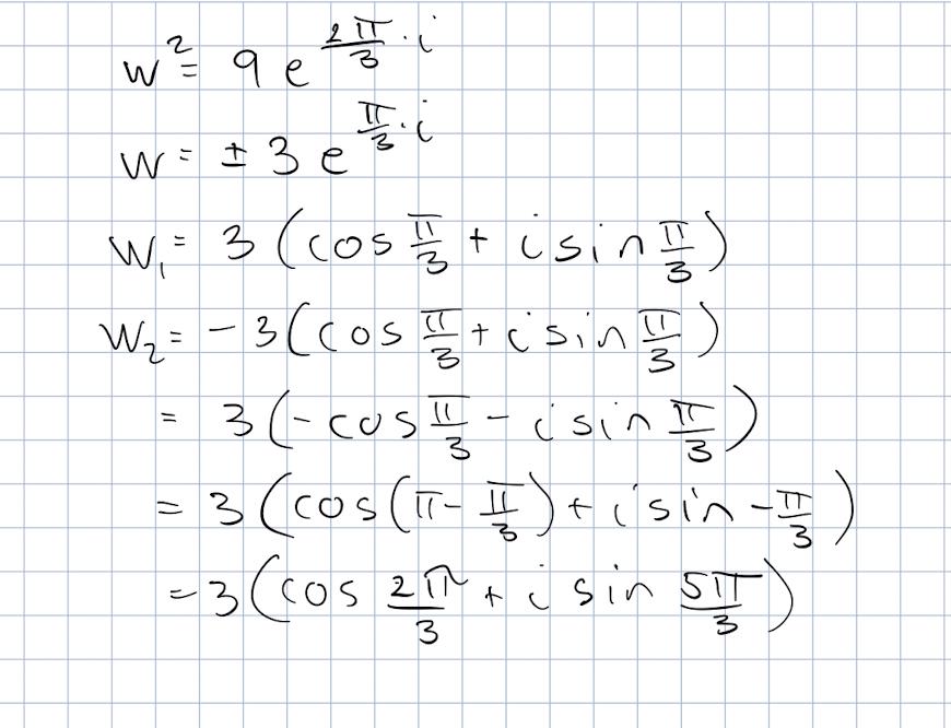
Jag ser ju att det blir fel i och med att cosv ≠ sinv för w2. Jag undrar bara vad som blir fel på vägen. Jag har använt enkla trig-identiteter och algebran är korrekt så jag måste göra något fel i början som gör att w2 inte stämmer redan innan förenkling.
Är det något med att det också ska bli ± √e?
Hur ser du att det blir fel? Enklaste sättet att se om det är fel är väl att kvadrera resultaten. Varför förväntar du dig att cosv = sinv för w2? Det gäller bara när argumentet är pi/4 eller 5 pi/4 men du har ju fått argumentet för w2 till 2pi/3 resp. 5pi/3. Mitt förslag är att skriva -3= 3 ei pi * ei pi/3 = 3 ei 4pi/3 = 3(cos 4pi/3+i sin 4pi/3)
jag tror det är så här man ska göra:
w2 = 9e(2pi/3)i
w = 3ei(pi/3 + n2pi/2) där n är 0 eller 1
w1 = 3(cos(pi/3) + i sin(pi/3) (n = 0)
w2 = 3(cos(pi/3 + pi) + isin(pi/3+pi)) (n = 1)
observera att argumenten i sin och cos ska vara lika och att rötterna ligger jämnt fördelade i varvet