4
svar
148
visningar
är detta eller på universitetet?
Aa?
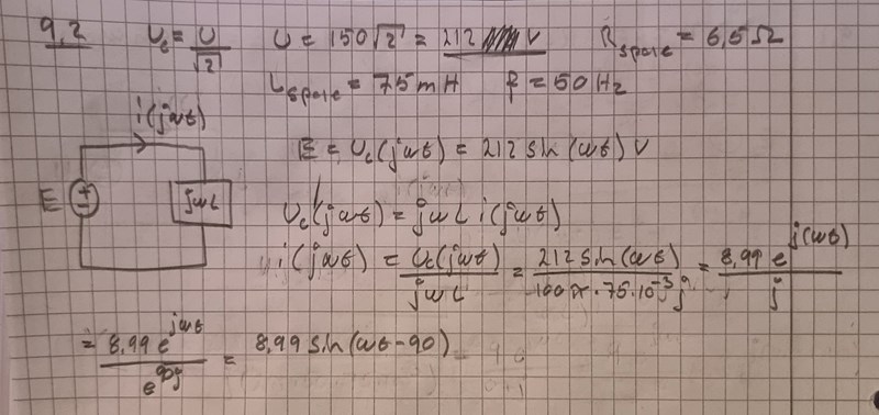
Fasvinkeln är säkert inte 90 grader. Spolen har ju resistans.
Du bör nog rita ett visardiagram.
jag löste den såhär, det borde vara rätt va?
Men en fråga, om spolen inte hade haft någon resistans så hade jag kunnat göra så som jag gjorde på första bilden?

