Komplexa tal

Jag vet inte riktigt vad det är jag gör. Jag sätter en ekvation som är ekvivalent med ursprungsekvationen. Och om jag kan lösa den kan jag även lösa den ursprungliga ekvationen antar jag. Men hur går detta till?
Ekvationen du börjar med är en likhet mellan två komplexa tal. Eftersom de är lika, måste de dels ha samma realdel, och dels samma imaginärdel. Det är det som ger ekvationssystemet.
Skaft skrev:Ekvationen du börjar med är en likhet mellan två komplexa tal. Eftersom de är lika, måste de dels ha samma realdel, och dels samma imaginärdel. Det är det som ger ekvationssystemet.
Så långt är jag med. Men vad ska jag göra med mina 4 lösningar på x?
du har fått
lösningarna på denna ekvation kommer vara på formen z=x+yi (du kanske är mer van vid z=a+bi ?)
ok, så då kvaderar vi lösningen för att få z^2 och sätter det lika med det z^2 vi fått i uppgiften.
Löser vi detta får vi reda på vad x och y är och kan därmed skriva alla lösningar på formen z=x+yi.
Vad är det som förvirrar dig?
Korra skrev:Skaft skrev:Ekvationen du börjar med är en likhet mellan två komplexa tal. Eftersom de är lika, måste de dels ha samma realdel, och dels samma imaginärdel. Det är det som ger ekvationssystemet.
Så långt är jag med. Men vad ska jag göra med mina 4 lösningar på x?
Räkna ut dina 4 motsvarande y och sedan har du dina 4 lösningar på formen z=x+yi
Edit: eller inte 4, du får inte ha komplexa x.
joculator skrev:du har fått
lösningarna på denna ekvation kommer vara på formen z=x+yi (du kanske är mer van vid z=a+bi ?)
ok, så då kvaderar vi lösningen för att få z^2 och sätter det lika med det z^2 vi fått i uppgiften.
Löser vi detta får vi reda på vad x och y är och kan därmed skriva alla lösningar på formen z=x+yi.Vad är det som förvirrar dig?
Ja det låter inte så konstigt alls när du skriver det så tydligt.
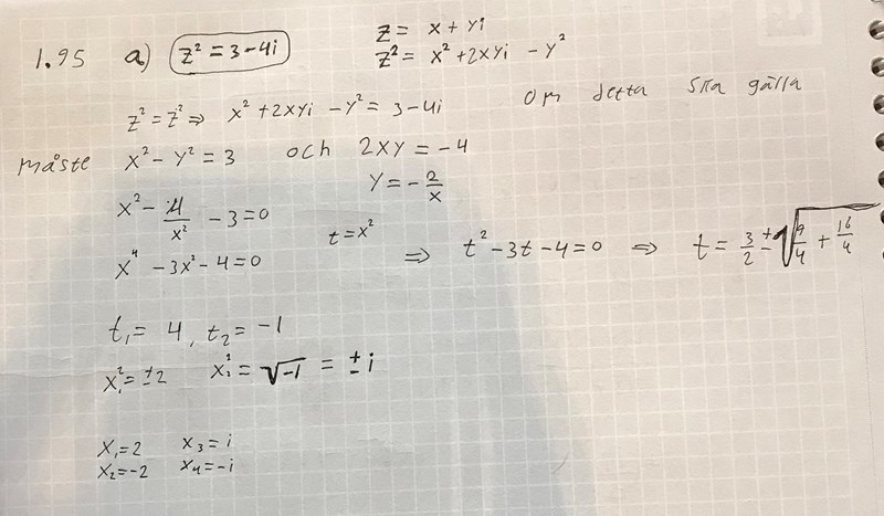
Här är mina 4 lösningar som jag får.
Verkar det rimligt? Första lösningen är alltså: x1^2 +2x1y1i-y1^2?
Du vet att x och y ska vara reella, därför kan du bortse från imaginära lösningar, som har uppkommit genom kvadreringen du gjorde på vägen. (falska rötter)
Du har alltså fått svaren
z1= 2-i
z2 = -2+i
Återstår att kontrollera om det är rätt! Sätt in i ursprungsekvationen och jämför HL med VL
Nja, lösningarna du fått är:
För om x=2 är y=-1 och om x=-2 är y=1
Ture skrev:Du vet att x och y ska vara reella, därför kan du bortse från imaginära lösningar, som har uppkommit genom kvadreringen du gjorde på vägen. (falska rötter)
Du har alltså fått svaren
z1= 2-i
z2 = -2+i
Återstår att kontrollera om det är rätt! Sätt in i ursprungsekvationen och jämför HL med VL
Aaah, ja dem ska vara Reella. För att Re(z^2)= x^2 -y^2 och 2xy okej jag är med.
joculator skrev:Nja, lösningarna du fått är:
För om x=2 är y=-1 och om x=-2 är y=1
Det du skriver på sista raden. Hur vet du det? Vart stoppar du in dessa värdena?
För att underlätta räknandet finns det ett litet knep som kan vara bra att känna till:
z2 = 3-4i
Antag att z = a+bi
ger som tidigare
ekv 1: a2-b2= 3
ekv 2: 2ab = -4
Nu till knepet:
Vi ser i ursprungsekvationen att z2 har beloppet (9+16)0,5 = 5 då vet vi att z har beloppet 50.5 och att därför är
ekv3: a2+b2 = 5
addera ekv 1 med ekv 3 ger
2a2 = 8 => a = +-2
b beräknas sedan med hjälp av ekv 2.
Notera i din lösning att du satte . Eftersom x är reellt, innebär det att . Därför måste du förkasta , (falsk rot).
Korra skrev:joculator skrev:Nja, lösningarna du fått är:
För om x=2 är y=-1 och om x=-2 är y=1
Det du skriver på sista raden. Hur vet du det? Vart stoppar du in dessa värdena?
Jag stoppar in dem i z=x+yi som du ansatte som formen som alla lösningar skall vara på.
Edit: sorry du skrev sista raden.
du har själv skrivit y1=... y2=... y3=.... y4= .... längre upp
joculator skrev:Korra skrev:joculator skrev:Nja, lösningarna du fått är:
För om x=2 är y=-1 och om x=-2 är y=1
Det du skriver på sista raden. Hur vet du det? Vart stoppar du in dessa värdena?
Jag stoppar in dem i z=x+yi som du ansatte som formen som alla lösningar skall vara på.
Edit: sorry du skrev sista raden.
du har själv skrivit y1=... y2=... y3=.... y4= .... längre upp
Jaha jaa jag förstår. Självklart. Jag har ju löst z^2 genom att lösa modellen av z^2 och jag behöver bara stoppa in värdena i z=x+yi.
Tack jag förstår nu.
Tack för hjälpen allihopa.