komplexa tal
Hej! Boken har skrivit

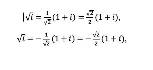
men när jag räknar själv kommer jag fram till att det finns två lösningar tid sqrt (i)
obs andra är -(1/(sqrt(2))(1+x))
Har jag gjort fel? Eller tar boken bara hänsyn till en lösning?
På samma sätt som har två lösningar bland de reella talen så har två bland de komplexa. Men funktioner, som , ska ogärna ge mer än ett resultat, så den behöver ett sätt att välja. Regeln i det reella fallet är "ta den positiva", medan regeln i det komplexa fallet är "ta den vars positiva argument är lägst". Dvs, du står i origo och tittar utmed den positiva reella axeln. Sen vrider du dig åt vänster (moturs sett uppifrån) tills du ser någon av kandidaterna. Den första lösningen till som du ser, det talet är .
(Notera förresten att regeln för det komplexa fallet är en utvidgning av regeln för det reella fallet: om du har en positiv reell lösning och en negativ, är det den positiva man ser först)
Skaft skrev:På samma sätt som har två lösningar bland de reella talen så har två bland de komplexa. Men funktioner, som , ska ogärna ge mer än ett resultat, så den behöver ett sätt att välja. Regeln i det reella fallet är "ta den positiva", medan regeln i det komplexa fallet är "ta den vars positiva argument är lägst". Dvs, du står i origo och tittar utmed den positiva reella axeln. Sen vrider du dig åt vänster (moturs sett uppifrån) tills du ser någon av kandidaterna. Den första lösningen till som du ser, det talet är .
(Notera förresten att regeln för det komplexa fallet är en utvidgning av regeln för det reella fallet: om du har en positiv reell lösning och en negativ, är det den positiva man ser först)
Tack! Om jag har förstått rätt så tittar de bara på den positiva axeln i detta fall eller?
Hm, det här var en sak jag tyckte jag kunde bra nog för att inte behöva googla - men när jag gjorde det verkar jag ha missuppfattat saken. Enligt wikipedia är det inte alls lägsta positiva vinkel som är regeln, utan:
the principal nth root of x is the nth root, with the greatest real part, and, when there are two (for x real and negative), the one with a positive imaginary part.
Konventioner är ett snårigt ämne. Men poängen är att ja, det finns mer än ett rimligt svar, så man har en regel för vilken man väljer som den "huvudsakliga" roten. Eftersom ligger längre till höger i talplanet (dvs, har en större realdel) än , är det den förstnämnda som blir "roten ur i".