2
svar
120
visningar
Ayah behöver inte mer hjälp
komplexa tal
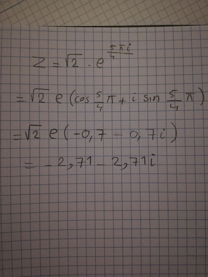
Hej!
kan någon förklara denna uppgift? är mitt svar rätt?.jpg?width=800&upscale=false)
Du "kladdar" med ett "e"
När du "översätter" från r.eiv till r(cos(v)+i sin(v)) skall du ta bort e.