2
svar
117
visningar
komplexa tal 3
Hej!
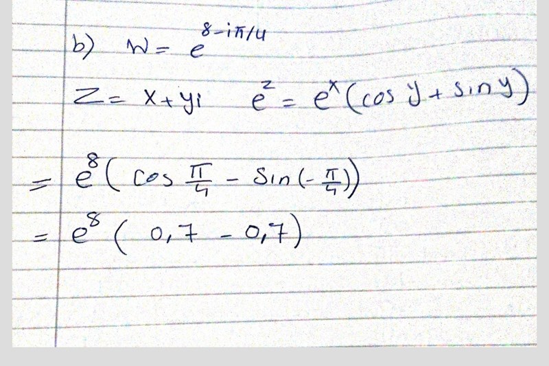
kan någon hjälpa mig med denna fråga, är lösning är rätt?

Rad 2 stämmer inte, men rad 3 och 4 stämmer nästan. Du har bara glömt ett i framför sinustermen.
Det gäller att
Sedan bör du svara med exakta värden på cosinus- och sinustermerna, inte avrundade värden.
Vet du hur du får fram dem?
Ayah, det står i Pluggakutens regler att det skall vara lätt att se skillnad på dina olika trådar - det underlättar för oss som svarar. Nu har jag kompletterat två av dina trådar med en siffra i rubriken. Tänk på detta i fortsättningen! /moderator