komplexa tal
Hej!
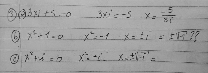
Jag började kika lite på komplexa tal. Det borde väl vara lätt tyckte jag :)? Men jag redan fick 3 fel (...ur 3 frågor...)!
Vad är knepet?


a) Förläng med i och förenkla, så får du nog det svar som står i facit.
b) Välj antingen i eller -i.
c) För att dra roten ur komplexa tal är det lättast att gå över till polär form först.
När du arbetar med komplexa tal är det en god idé att lära sig hur de kan representeras i det komplexa talplanet. Detta tillsammans med räknereglerna för addition, subtraktion, multiplikation och division av komplexa tal kommer att ta dig långt. Vi kan säga att det är de komplexa talens motsvarighet till enhetscirkeln.
Vad gäller ekvationer och uppgifter med komplexa tal så finns det några standardknep som kan vara bra att känna till. Pröva dig fram med dem.
1. Ett komplext tal z kan på "rektangulär form" uttryckas som a + bi, dvs z = a + bi, där a och b är reella tal. a kallas realdelen av z och betecknas Re(z). b kallas imaginärdelen av z och betecknas Im(z).
Observera att både realdelen och imaginärdelen är reella tal.
På detta sätt kan vi betrakta talparet (Re(z), Im(z)) som en representation av z i det komplexa talplanet.
Realdelen sätts av på den horisontella axeln och imaginärdelen sätts av på den vertikala axeln.
På precis samma sätt som vektorer i R^2 så här komplexa tal en riktning och en längd.
Riktningen kallas argumentet av/hos z och betecknas Arg(z). Längden kalla absolutbeloppet av z och betecknas Abs(z).
Argumentet är vinkeln v mellan vektorn (Re(z), Im(z)) och den positiva horisontella axeln. Du kan använda sambandet tan(v) = Im(z)/Re(z) för att bestämma v. Var noga med vilken kvadrant v ska ligga i.
Beloppet är längden av vektorn (Re(z), Im(z)). Här kan du använda Pythagoras sats för att bestämma Abs(z).
Men du kanske redan vet allt detta?
3:
Skriv om -i som dra roten ur och glöm inte så får du svaren
och
Men det är snyggare att lösa polärt ...
joculator skrev :3:
Skriv om -i som dra roten ur och glöm inte så får du svaren
och
Men det är snyggare att lösa polärt ...
Jag beundrar den som första gången kom på att göra den omskrivningen - det är verkligen att krångla till det först för att sedan kunna lösa det på ett snyggt sätt!
Yngve skrev :Men du kanske redan vet allt detta?
Neeeej jag har precis börjat att kolla på det så jag vet ingenting!
Lösa polärt vet jag inte vad det kan betyda heller, men det låter stiligt!
Tack för alla svar, försöker att återkomma till det lite senare idag!
smaragdalena skrev :joculator skrev :3:
Skriv om -i som dra roten ur och glöm inte så får du svaren
och
Men det är snyggare att lösa polärt ...
Jag beundrar den som första gången kom på att göra den omskrivningen - det är verkligen att krångla till det först för att sedan kunna lösa det på ett snyggt sätt!
Tack! :-)
Nu var jag säkert inte först, men jag kom i alla fall på det själv. Ett skolarbete för länge sedan för att bli av med . Men det funkar ju även med -i.
Det tog lång tid för mig att komma fram till metoden och jag har inte haft någon som helt nytta av den (förrän nu?)
joculator skrev :smaragdalena skrev :joculator skrev :3:
Skriv om -i som dra roten ur och glöm inte så får du svaren
och
Men det är snyggare att lösa polärt ...
Jag beundrar den som första gången kom på att göra den omskrivningen - det är verkligen att krångla till det först för att sedan kunna lösa det på ett snyggt sätt!
Tack! :-)
Nu var jag säkert inte först, men jag kom i alla fall på det själv. Ett skolarbete för länge sedan för att bli av med . Men det funkar ju även med -i.
Det tog lång tid för mig att komma fram till metoden och jag har inte haft någon som helt nytta av den (förrän nu?)
Lol, jo, nu kan du förklara det för mig och det är en nytta i sig :D!
Kanske!
joculator skrev :3:
Skriv om -i som dra roten ur och glöm inte så får du svaren
och
Men det är snyggare att lösa polärt ...
Och jag ska gissa mig fram (utan att kunna något så bli nådigt) att... att... det är snyggt och viktig för att det är en rättvinklig triangel med 45 grader vinklar som är normaliserat ( är väl hypotenusan när man letar efter sin/cos för 45 grader vinklar?)?!
Daja skrev :joculator skrev :3:
Skriv om -i som dra roten ur och glöm inte så får du svaren
och
Men det är snyggare att lösa polärt ...
Och jag ska gissa mig fram (utan att kunna något så bli nådigt) att... att... det är snyggt och viktig för att det är en rättvinklig triangel med 45 grader vinklar som är normaliserat ( är väl hypotenusan när man letar efter sin/cos för 45 grader vinklar?)?!
Du verkar ha en blick för vad som är (eller anses vara) snyggt i matte, Daja!
Yngve skrev :När du arbetar med komplexa tal är det en god idé att lära sig hur de kan representeras i det komplexa talplanet. Detta tillsammans med räknereglerna för addition, subtraktion, multiplikation och division av komplexa tal kommer att ta dig långt. Vi kan säga att det är de komplexa talens motsvarighet till enhetscirkeln.
Vad gäller ekvationer och uppgifter med komplexa tal så finns det några standardknep som kan vara bra att känna till. Pröva dig fram med dem.
1. Ett komplext tal z kan på "rektangulär form" uttryckas som a + bi, dvs z = a + bi, där a och b är reella tal. a kallas realdelen av z och betecknas Re(z). b kallas imaginärdelen av z och betecknas Im(z).
Observera att både realdelen och imaginärdelen är reella tal.
På detta sätt kan vi betrakta talparet (Re(z), Im(z)) som en representation av z i det komplexa talplanet.
Realdelen sätts av på den horisontella axeln och imaginärdelen sätts av på den vertikala axeln.
På precis samma sätt som vektorer i R^2 så här komplexa tal en riktning och en längd.
Riktningen kallas argumentet av/hos z och betecknas Arg(z). Längden kalla absolutbeloppet av z och betecknas Abs(z).
Argumentet är vinkeln v mellan vektorn (Re(z), Im(z)) och den positiva horisontella axeln. Du kan använda sambandet tan(v) = Im(z)/Re(z) för att bestämma v. Var noga med vilken kvadrant v ska ligga i.
Beloppet är längden av vektorn (Re(z), Im(z)). Här kan du använda Pythagoras sats för att bestämma Abs(z).
Tack Yngve, det var verkligen super pedagogiskt:
Alla reella tal är egentligen en slags pinne, luftar man pinnen i den imaginära planet får man nåt helt annat, en vektor med en vinkel. Vad ska vi ha pinnen till är en annan spännande fråga!
Dessutom terminologin är super roligt tycker jag! Re(z) och Lm(z) låter som en kombo mellan Jayz o lmfaos party rock anthem, men den här med Abs(z) och Arg(z) är ju den bästa... XD XD

Ser fram emot komplex talen :))
EDIT:
@Smaragdalena: tack jag precis såg din kommentär :))
Jag tror att du kommer att gilla dem, Daja!
Bland annat så ger de en helhetsbild av lösningsmängden till polynomekvationer, en koppling in i vektoranalys och, som du själv har konstaterat, även till trigonometriska funktioner och enhetscirkeln.
Och, när du väl kommer till komplexa tal uttryckta på exponentiell form, så kommer du att förstå innebörden av ett av de vackraste matematiska sambanden som finns, nämligen Eulers identitet:

Jag tror att vi kan citera Casablanca: "I think this is a beginning of a beautiful friendship".
Jag tror att du har för höga förväntningar för mig :). Men ska göra min bästa!
Varför säger Smaragdalena att jag måste välja i eller -i? Får man välja svar när man räknar med komplextal?
Daja skrev :Jag tror att du har för höga förväntningar för mig :). Men ska göra min bästa!
Varför säger Smaragdalena att jag måste välja i eller -i? Får man välja svar när man räknar med komplextal?
Läs uppgiften igen, det står "ange en rot". Inte "lös ekvationen" e.d.
tomast80 skrev :Daja skrev :Jag tror att du har för höga förväntningar för mig :). Men ska göra min bästa!
Varför säger Smaragdalena att jag måste välja i eller -i? Får man välja svar när man räknar med komplextal?
Läs uppgiften igen, det står "ange en rot". Inte "lös ekvationen" e.d.
Som sagt, stora förväntningar i min förmåga :). Jag kan glömma frågan när jag löser talet..