4
svar
119
visningar
Komplexa tal
Vill någon vara snäll och hjälpa mig med att lösa den ?

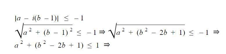
Hur har du börjat? Kalla . Vad får vi då i VL? :)
Smutstvätt skrev:Hur har du börjat? Kalla . Vad får vi då i VL? :)

Helt rätt! Om du nu kör kvadratkomplettering på uttrycket , vad får du? :)
Rimligtvis verkar det ha smugit in ett minustecken, ekvationen har inga lösningar, absolutbeloppsfunktionen är alltid icke-negativ. Om det istället ska stå så beskriver detta en cirkel med medelpunkt i och radie i det komplexa talplanet, där randen även ingår.