3
svar
138
visningar
Komplexa tal
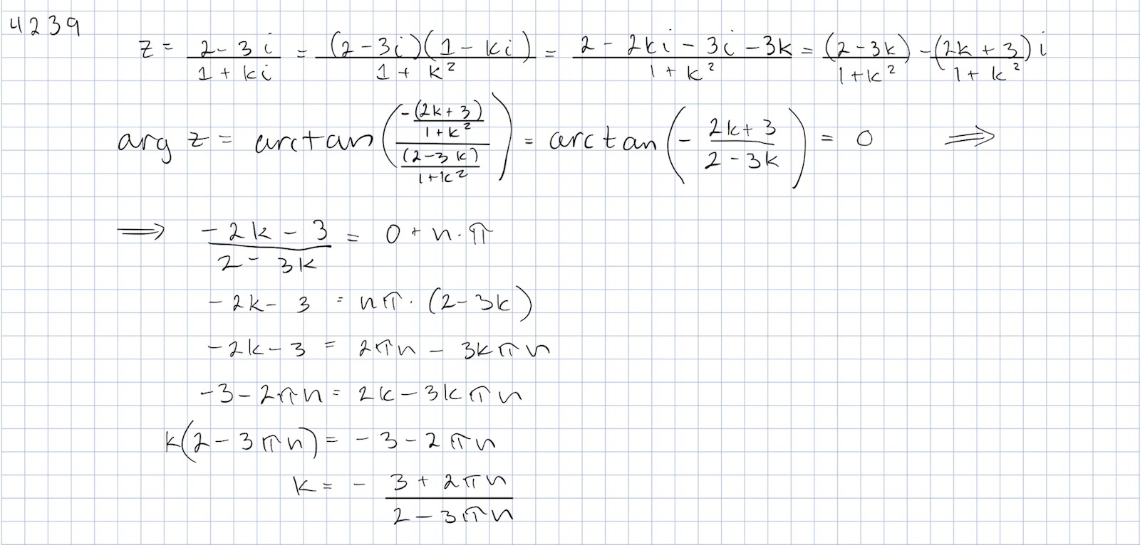
Hej! Här är uppgiften:


Svaret ska bara bli k = -3/2. Jag vet att man kan sätta Im(z)= 0, men vad blir fel med mitt uttryck för k som innehåller pålagda varv?
Hej!
Man brukar vanligtvis definiera mellan .
Känns som att det är något boken eller min lärare borde ha tagit upp då. Varför just mellan -π och +π och inte mellan 0 och 2π? Någon anledning? Och varför ingår inte -π? För att π redan täcker det?
du har ett imaginärt tal på formen a+bi och ska bestämma k så att b blir 0
dvs 2k+3 = 0 här ska du inte blanda in någon periodicitet eftersom imaginärdelen ska bli 0, inte 2pi eller ngt annat.
Det finns inget annat tal än k= -3/2 som gör att 2k+3 blir 0.