komplexa tal 4193
Hej!
Jag har fastnat på b uppgiften, vet inte riktigt hur man ska lösa den, vore tacksam för förklaring. (lagt in en bild för a uppgiften)


Kalla polynomet .
Du vet att polynomet kan skrivas på faktoriserad form enligt , där är en konstant och är polynomets nollställen.
Du vet att de komplexa rötterna alltid förekommer i komplexkonjugerade par, vilket ger att .
hur hittar man k värdet och den sista komplexa roten?
Ersätt och i uttrycket med de kända rötterna.
Multiplicera ihop parenteserna, multiplicera in och jämför med ursprungspolynomet.

har kommit så här långt, sen fastnar jag igen
Bra.
För att polynomen nu ska vara identiska för alla värden på så måste alla motsvarande koefficienter i de båda polynomen vara lika.
Det betyder att
- för att -termerna ska vara lika så måste .
- för att -termerna ska vara lika så måste
- för att -termerna ska vara lika så måste
- för att konstanttermerna ska vara lika så måste
Jag förstår inte riktigt, hur ska man göra och hur ska man lösa ut koefficienten?
Läs det som Yngve skrev igår klockan 21:45 och följ det punkt för punkt. Om du behöver mer hjälp, så visa hur långt du har kommit och fråga igen.
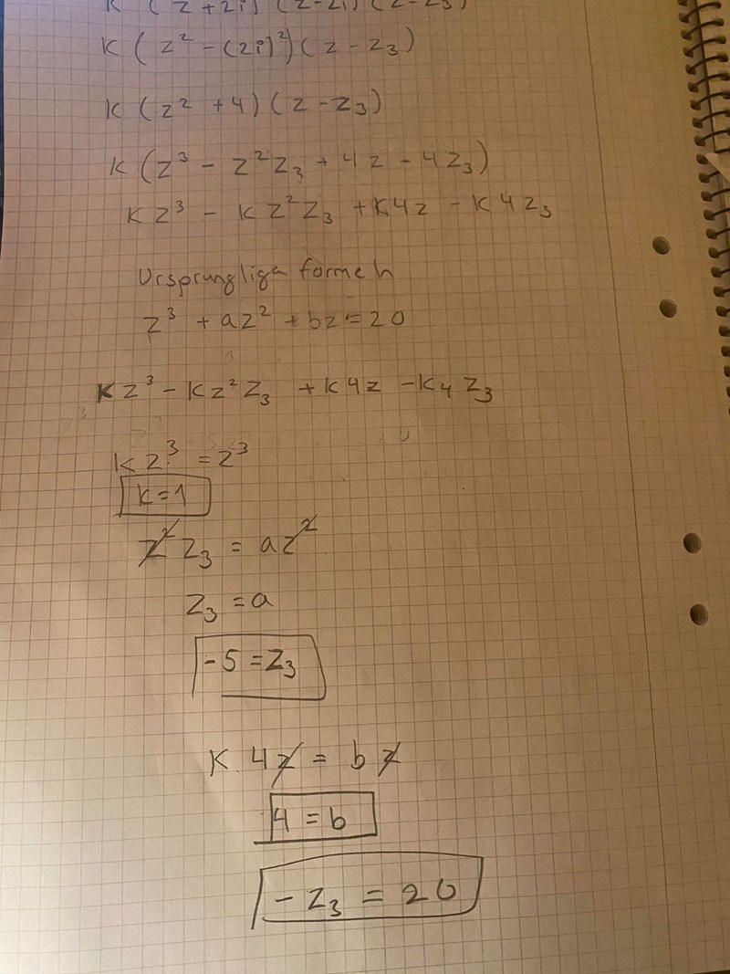
Jag gjorde så här, men kändes som att jag var helt ute och cyklade i slutet så jag gav upp, verkar det korrekt metod?


Här blev det fel.
Det ska vara
så z3 blir -a? Hur gör man sedan för att få ut rötterna, ska man sätta in dem i andragradsfunktionen som bildas när man sätter in alla värden eller är det felaktigt att göra så?
Nej enklare än så.
Du vet från a-uppgiften vilket värde har.
Då kan du beräkna värdet av .
Tack så jättemycket Yngve! Nu lyckades jag lösa frågan med hjälp av dina tidigare tips:)