Komplexa tal
Uppgiften lyder:
1) En person vill osedd smyga fram mot ett mål. Vägen till målet kan beskrivas genom tre förflyttningar:
1) 40 m i en riktning som från öster avviker 60º mot norr.
2) 30 m åt väster.
3) 50 m i en riktning som från öster avviker 45º mot norr.
Lös följande problem med hjälp av dina kunskaper om komplexa tal.
Personen tänkes starta i origo. Längdenheten på varje axel får motsvara 1 m.
a)Teckna förflyttningarna som tre komplexa tal i polär form.
b)Räkna ut det komplexa tal som motsvarar målets position.
Svara på formen a+bi. Svara med heltal.
c)Beräkna även avståndet från startpunkten till målet.

och då tänkte jag svara på a) frågan något såhär.. stämmer detta? vinkeln för 30 meter västerut vet jag inte vad det är för vinkel jag ska välja.. är den 0?
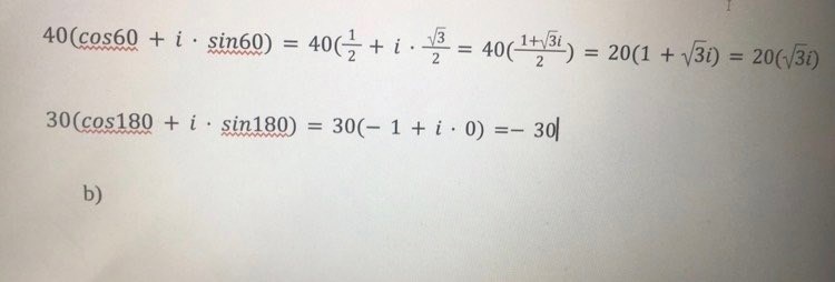
40(cos60+i*sin60)
50(cos45+i*sin45)
30(cos v+i*sin v)
Rakt västerut är i negativa realaxelns riktning, dvs pi (eller 180 grader)
okej, tack. Så den sista blir 30(cos180+i*sin180) ?
EDIT:
Den beräkning med 40 meter, blir då
Beräkningen med 50 meter blir
Beräkning med 30 meter blir ?
Eller det står ju enbart att jag ska teckna förflyttningarna..
Svaret på b) blir kanske då 100+
EDIT: har sett fel värde på sin45 ser jag nu..
visa hur du räknat

Kanske ska bli 50+50i
OliviaH skrev:
Du gör fel, hur lyckas du få att bli 1?
om du vill bli av med roten i nämnaren, kan du förlänga med men du har multiplicerat täljare och nämnare med olika tal!
ja, det var roten ur 2 jag skulle förlänga med istället för 2 som jag gjorde.
om man dividerar 50 med 2 kan man alltså ta bort divisionen med 2 och behålla roten ur?
Är det svaret på b) uppgiften? Och för att svara på c) uppgiften behöver jag räkna ut de tre beräkningarna och addera dem?
OliviaH skrev:Är det svaret på b) uppgiften? Och för att svara på c) uppgiften behöver jag räkna ut de tre beräkningarna och addera dem?
Nej det är inte svaret på b.
Vad är det du ska göra i b uppgiften?
räkna ut det komplexa tal som motsvarar målets position.
ja, hur kan du göra det?
jag behöver veta koordinaterna tror jag, tänker att jag kan rita ut tallinje för imaginär och real del men kan ju dra strecket hur jag vill egentligen, för nu ligger den mitt i en ruta
När man adderar och subtraherar komplexa tal är det enklast att ha dem på formen z = a+bi. Eftersom du ändå skall ha det på den formen när du svarar, är det bästa att göra om talen till rektangulär form och sedan addera dem.
så om jag gör om de polära formerna till rektangulära former kan jag sedan addera alla för att komma fram till det komplexa talet som motsvarar målets position? Det låter mer som att jag kommer svara på c) uppgiften då
Nej, det är b-uppgiften. Du behöver det svaret för att kunna beräkna det komplexa talets belopp, d v s c-uppgiften.
okej, såhär har jag gjort på de övriga två, vet inte om det är rätt..
Första raden är rätt, utom sista ledet, där du har tappat bort realdelen. Andra raden är korrekt.
Det behövs en beräkning för den tredje förflyttningen också, den som är 50(cos45+i*sin45). Sedan kan du addera de tre talen, realdelarna för sig och imaginärdelarna för sig.
ska det vara 20+20()?
Nej det blir inte .
Vi sammanställer:
Kalla de tre förflyttningarna z1, z2 och z3.
Vad har du kommit fram till avseende dessa?
nähe... 
z3 och z2 är rätt, men z1 stämmer int, du glömmer att skriva ut och räkna med att ska vara en högerparentes:

ja, glömde parentesen men vill få det till 20+
sedan 40/2= 20
vilket ger 20+20*
vad gör jag fel?
OliviaH skrev:ja, glömde parentesen men vill få det till 20+
sedan 40/2= 20
vilket ger 20+20*
vad gör jag fel?
Nu är även z1 rätt.
Sista steget blir att addera dessa tal.
du skrev i #22 att detta var fel svar?
Reella delen blir=
Imaginära delen blir=
OliviaH skrev:du skrev i #22 att detta var fel svar?
Jag trodde att du menade att det var svaret på b-uppgiften.
OliviaH skrev:Reella delen blir=
Imaginära delen blir=
Ja det stämmer.
okej, ska jag addera dessa så det blir målets position?
a+bi
Målets position uttryckt som ett komplext tal är .
Det är alltså svaret på b-uppgiften.
Kommentar: Det ska stå 20, inte 29.
vad fick du 29 ifrån?
Skrivfel, det ska stå 20 där.
Antar att avståndet inte kan beräknas genom 50+40+30 m? på c) uppgiften
avståndet från origo för ett komplext tal är talets belopp.
Beräkna alltså beloppet på svaret från b uppgiften.
Ska jag beräkna roten ur den imaginära delen roten ur (a²+b²)och roten ur (a²+b²)den reella delen och sedan addera det?
Nej, du skall beräkna a2+b2 och dra roten ur det. Vilka värden a och b har står i Yngves inlägg #32 (med 20, inte 29).
OliviaH skrev:Ska jag beräkna roten ur den imaginära delen roten ur (a²+b²)och roten ur (a²+b²)den reella delen och sedan addera det?
Jag vet inte vad du menar med a och b här.
Du ska använda avståndsformeln, vilket i detta tvådimensionrlla fall är identiskt med Pytthagoras sats.
såhär? och sedan -1 kanske eftersom jag inte tog med i² nu
OliviaH skrev:
såhär? och sedan -1 kanske eftersom jag inte tog med i² nu
Nej. Du skall beräkna och sedan dra roten ur detta.
Tillägg: 28 maj 2022 10:02
Varför ska jag inte ha med i?
Din uträkning stämmer inte. Du har räknat som om (a-b)2 skulle vara lika med a2-b2 och på samma sätt med (a+b)2
Använd istället kvadreringsreglerna (a-b)2 = a2-2ab+b2 och (a+b)2 = a2+2ab+b2.
====
Du ska inte ha med i eftersom absolutbeloppet av det komplexa ralet är och .
jag räknar fel tror jag..
Använd kvadreringsregeln (a-b)2 = a2-2ab+b2.
I ditt fall är och
såhär?
De tre sista raderna är fel. Vart tog vägen?
oj, att jag aldrig kan få det rätt. Tänkte att det var=2.
Men nu har jag gjort om igen.. 
Nej, de här två uttrycken är inte lika med varandra.

Istället ska det vara .
Alkt stämmer utom 25. Hur räknar du fram det?
Tillägg: 28 maj 2022 15:19
Fel av mig. Närmevärdet 25 stämmer.
????????
slog in förra på miniräknaren
Varför gjorde du nu om till ?
Dvs varför ändrade du från

till

??
jag gissar på olika sätt att lösa den eftersom jag inte kan lösa det. Roten ur 2 är väl 2^0,5? Så
Min fråga är egentligen hur man gör när det är roten ur ett tal som redan är roten ur
Fel av mig i svar #51. Du hade räknat rätt och närmevärdet 25 stämmer.
Dvs
okej, hur kan man räkna ut det om man inte har tillgång till miniräknare?
Det kommer du inte att behöva göra.
25 meter är svaret alltså
det står svara i heltal på b... och a+bi... Jag har väl svarat i heltal med a+bi?
Vad har du fått fram för värde på z = a+bi?
Det gäller att z =
Vi har alltså att
- Re z =
- Im z =
Vad absolutbeloppet av z är står i svar #43.
Uppgiften är:
b)Räkna ut det komplexa tal som motsvarar målets position.
Svara på formen a+bi. Svara med heltal.
Så a och b skall vara heltal.
okej, a och b är heltal så då stämmer det ju. Räknade vi inte ut att absolutbeloppet var 25?
Nej, vi beräknade ett närmevärde till , men det borde vi inte ha gjort.
========
Vi borde istället ha beräknat ett närmevärde till eftersom det är det som är absolutbeloppet av det komplexa talet .
Se svar#32, #41 och #43.
okej, ska försöka med det
okej, det blir 60 meter?

Nej nu gör du samma fel som tidigare.
Vi tar det steg för steg.
Är du med på att om du sätter , , och så är uttrycket du ska beräkna ?
I så fall bör du börja med att utveckla och med hjälp av kvadreringsreglerna.
ja, juste, glömmer alltid de reglerna..
Nej det stämmer inte.
Hur får du summan av termerna inringade i rött att bli termen inringat i blått?

jag såg fel, trodde det stod 1250-1250. Det blåa ska vara, 3800
Ja, det stämmer.
Brukar du göra så här många fel även på inlämningsuppgifter och prov?
I så fall bör vi nog försöka jobba med metoder så att du kan upptäcka dem själv.
okej, jag har många bollar i luften därav blir det stressigt vid uppgifter, men jag har en månad på mig att studera i ett lugnare tempo inför NP. Hur som helst.. får svaret att det är ungefär 74 meter. Stämmer det?
OliviaH skrev:okej, jag har många bollar i luften därav blir det stressigt vid uppgifter, men jag har en månad på mig att studera i ett lugnare tempo inför NP.
Då föreslår jag att du väntar med att lösa uppgifter tills du har färre bollar i luften alternativt att du tränar på att själv leta efter onödiga fel.
Hur som helst.. får svaret att det är ungefär 74 meter. Stämmer det?
Ja, ungefär 74 meter stämmer.
Jag brukar inte göra slarvfel på prov, och det är det nationella provet jag behöver klara av, därför behöver jag tänka på detta till NP. Jag är medveten om att jag gör flera saker samtidigt i livet men så länge det fungerar dvs( så länge jag klarar kurserna) är jag nöjd. Visst, hade det vart bra om man alltid kunde göra en sak i taget genom livet? Men det fungerar inte alltid så, många faktorer spelar in över hur man presterar.
Jag är tacksam för hjälpen och att slarvfel rättas till.
OK jag hjälper dig gärna att träna på att kontrollera dina egna uträkningar, nen jag är inte lika taggad på att agera "facit" och att peka ut fel du egentligen inte hade behövt göra eller som du lika gärna kunde hitta själv.
Det känns som att du inte lär dig något på det.

