3
svar
131
visningar
Splash.e behöver inte mer hjälp
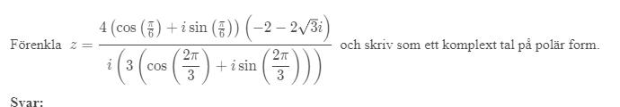
Komplexa tal


Varför blir det fel när jag använder geogebra? Svaret ska lbi =16/3(cos(π/3)+isin(π/3))
Jag skulle rekommendera att skriva alla involverade komplexa tal på formen e^ix och sedan använda potensregler. Det blir lättare, och du varför direkt den polära formen.
Det verkar också som att du har skrivit
z2 = -2 - 2
och inte
z2 = -2 -2i
(alltså att i:et är under rottecknet).
Det är nog därför det blev fel.
Juitre skrev:Det verkar också som att du har skrivit
z2 = -2 - 2
och inte
z2 = -2 -2i
(alltså att i:et är under rottecknet).
Det är nog därför det blev fel.
jaaa! tack!