2
svar
97
visningar
Komplexa tal
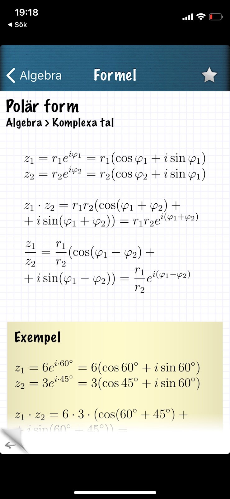
Vilken regel har använts här? Hur gick det från division till subtraktion? 
Det blir tydligare om man skriver det som .
