1
svar
105
visningar
jibibox behöver inte mer hjälp
komplexa tal


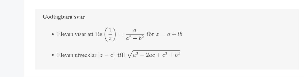
Hej, hur ska man visar att Re(1/z)=a/(a^2+b^2)?
Sätt z=a+ib Då är 1/z =1/a+ib= (a-ib)/(a-ib)(a+ib)=(a-ib)(a2+b2) Tag sedan realdel av detta.