6
svar
128
visningar
Komplexa tal
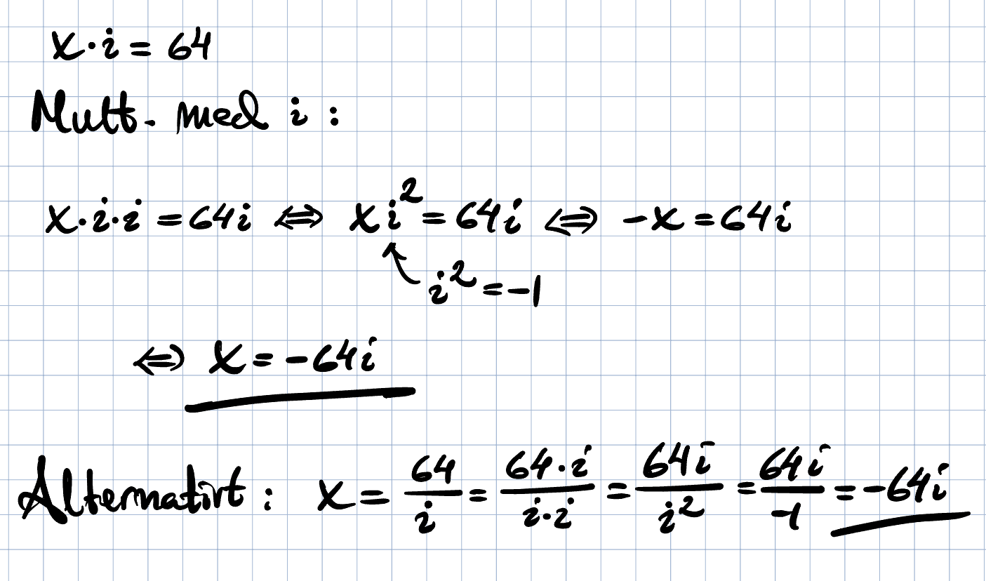
x*i = 64
tänker såhär:
x=64/i
x = 64(-i) / i(-i)
x=-64i/i^2
x = -64i/-1 = 64i
Men svaret är -64i och förstår inte hur det blir så!
i*(-i) är inte i^2
Nej såklart juste det blir ju -i^2 vilket är -(-1) och därav 1. Tack
Det var lite överlistigt att förlänga med -i det blir enklare med i
Har lärt mig att man ska förlänga med konjugatet men i detta fall fungerar ju båda
Hejhej23 skrev:Har lärt mig att man ska förlänga med konjugatet men i detta fall fungerar ju båda
Om nämnaren är ett komplext tal med realdel så är det bra att förlänga med nämnarens komplexkonjugat, ja. Men om nämnaren är ett rent imaginärt tal så behövs inte det.
