1
svar
79
visningar
Ställa865 behöver inte mer hjälp
Komplexa tal
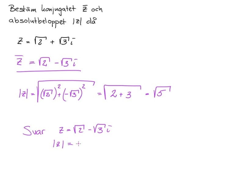
Via min lösning av att bestämma konjugatet får jag fel svar inte som facit, varför?
Min lösning:
Facit:

I din lösning där imaginärdelen kvadreras tar du med :et, vilket man inte ska göra när man räknar absolutbelopp, bara de reella talen som "skalar upp" realdelen och imaginärdelen.
Anledningen till detta kan vi få från denna triangel:
Pythagoras sats ger att . Därför definieras som .