komplexa tal argument och absolutbelopp

Jag ska försöka mig på den här.
OK bra.
Visa hur långt du kommer.
Ditt mantra bör vara "Addera (och subtrahera) halva koefficienten framför x-termen i kvadrat"
Yngve skrev:OK bra.
Visa hur långt du kommer.
Ditt mantra bör vara "Addera (och subtrahera) halva koefficienten framför x-termen i kvadrat"
Såhär långt här jag kommit

Varför gör du inte som Yngve tipsar om? Alternativt skulle du kunna använda pq-formeln.
Smaragdalena skrev:Varför gör du inte som Yngve tipsar om? Alternativt skulle du kunna använda pq-formeln.

Jag förstår inte ens vad han menar jag följer bara instruktionerna
Vilka instruktioner?

där har du :)
Jag förstår inte hur det du gör har något att göra med de instruktionerna.
För att faktirisera f(x) skall du börja med att lösa ekvationen f(x) = 0, antingen med kvadratkomplettering, som Yngve tipsar om, eller med pq-formeln.
Smaragdalena skrev:Jag förstår inte hur det du gör har något att göra med de instruktionerna.
För att faktirisera f(x) skall du börja med att lösa ekvationen f(x) = 0, antingen med kvadratkomplettering, som Yngve tipsar om, eller med pq-formeln.
Oh eh okej jag försöka kvadratkomplettering men hur ska jag börja ens ?.
Så som Yngve beskrev.
Du får att där du kan skriva om de tre första termerna till en kvadrat. Kommer du vidare?
Smaragdalena skrev:Så som Yngve beskrev.
Jag får försöka så får jag visa steg för steg tills det blir rätt
Såg du att jag skrev ett förtydligande medan du skrev ditt inlägg?
Smaragdalena skrev:Så som Yngve beskrev.
Du får att där du kan skriva om de tre första termerna till en kvadrat. Kommer du vidare?
Jag har skrivit om det och jag fick rätt. men ska det vara + 1 eller -1
Såhär har jag gjort än så länge 
Varför ändrar du +1 till -1?
Smaragdalena skrev:Varför ändrar du +1 till -1?

Jag följer den här formen
Vänta borde jag inte ta (2/2) +1/1 = 3/2
Du får inte glömma parenteserna! De finns i exemplet, men inte i din beräkning, åtminstone inte slutparentesen.
Varifrån får du 2/2? Hur får du 1+1=3/2?
Smaragdalena skrev:Du får inte glömma parenteserna! De finns i exemplet, men inte i din beräkning, åtminstone inte slutparentesen.
Varifrån får du 2/2? Hur får du 1+1=3/2?
Hmm nej det var fel av mig. Jag tänkte fel.
Men såhär borde det stå

OK bra, det är nära nu.
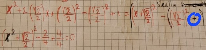
Jag ringade in en felaktighet, det ska vara ett minustecken där.

Fortsätt nu att förenkla uttrycket så blir det lätt att sedan hitta dess nollställen och därifrån hitta faktoriseringen.
(Beskär gärna dina bilder innan du lägger upp dem, så att du endast får med den information som är relevant och som du vill ha återkoppling på.)
Yngve skrev:OK bra, det är nära nu.
Jag ringade in en felaktighet, det ska vara ett minustecken där.
Fortsätt nu att förenkla uttrycket så blir det lätt att sedan hitta dess nollställen och därifrån hitta faktoriseringen.
(Beskär gärna dina bilder innan du lägger upp dem, så att du endast får med den information som är relevant och som du vill ha återkoppling på.)
Så nu har jag skrivit det rätt 😀

Zined10 skrev:
Så nu har jag skrivit det rätt 😀
Har du kontrollerat att din omskrivning är korrekt?
Yngve skrev:Zined10 skrev:Så nu har jag skrivit det rätt 😀
Har du kontrollerat att din omskrivning är korrekt?
Ja det har jag gjort
Zined10 skrev:Ja det har jag gjort
Kan du visa hur du kontrollerade och vad du kom fram till?
Yngve skrev:Zined10 skrev:Ja det har jag gjort
Kan du visa hur du kontrollerade och vad du kom fram till?
1. (Roten ur 2/2)² = - 2/4 - 1
2. Jag ändrar - 1 till 4/4 så det blir lättare att förenkla
3. -2/4 - 4/4 = —6/4
4. Jag förenklar - 6/4 = - 3/2
5. Kvar har jag (x+roten ur 2/2)² -3/2
OK du har kommit fram till att kan skrivas som , dvs att uttrycken är identiska.
Nu tycker jag att du ska kontrollera om de verkligen är det genom att:
- Multiplicera ut kvadraten i det sista uttrycket
- Förenkla
- Jämföra med originaluttrycket.
Visa hur du gör det och vad du får för resultat.
Ska det vara en bild i svar #28?
Det ser tomt ut hos mig:

Yngve skrev:Ska det vara en bild i svar #28?
Det ser tomt ut hos mig:
Jag har löst uppgiften och förstår alla steg :)



