Komplexa tal (beräkna belopp och argument)

Vad är (1+i)2?
Laguna skrev:Vad är (1+i)2?
(1+i)^2=2i
Varför ska vi undersöka detta?
För att du kan räkna ut (1+i)4 nu.
SÅ vi har:

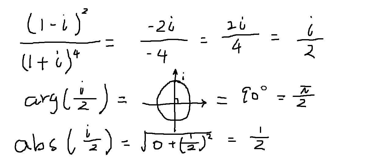
belopp=1/2, argumentet=pi/2
Hålla?
Din uträkning i kommentar #8 är rätt.
Du kan även använda de Moivres formel för att komma fram till svaret.
Eftersom så är
Eftersom så är
Kvoten blir då
Argumentet beräknas så här:

Stämmer det?
Ja, om Abs(z) betecknar absolutbeloppet av z och Arg(z) betecknar argumentet hos z så gäller att Arg(z1/z2) = Arg(z1)-Arg(z2) och att Abs(z1/z2) Abs(z1)/Abs(z2).
På samma sätt är Arg(z1•z2) = Arg(z1)+Arg(z2) och Abs(z1•z2) = Abs(z1)•Abs(z2).
Om man ska dividera eller multiplicera två komplexa tal så är det alltså väldigt behändigt att ha talen skrivna på polär trigonometrisk eller polär exponentiell form.
Läs gärna mer om detta här.


