3 svar
123 visningar
Kvadratenskvadrat 195 – Fd. Medlem
Postad: 11 jan 2018 15:21

Komplexa TAL EXPONENT (**UTAN MINIRÄKNARE**)

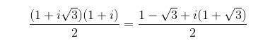
https://gyazo.com/a49584ccca65033a1006819815414182

Det innanför exponenten försöker jag skriva om på re^(theta*i) formen, men jag har stora problem, får fram roten ur grejer som jag ej kan arccos och arccsin för i huvudet. 

Genom att slå in ^2 ^4 ^6 osv på wolfram ser jag ett mönster som gör tt man kan lista ut vad ^20 ska vara, men hur ska jag lösa denna uppgift utan miniräknare på ett smidigt sätt?

tomast80 4297
Postad: 11 jan 2018 15:41

Du bör kunna sin, cos (och därmed tan) för standardvinklarna: 0, 30, 45, 60, 90 grader (och därmed motsvarande i övriga kvadranter). Då kan du lösa denna uppgift.

Kvadratenskvadrat 195 – Fd. Medlem
Postad: 11 jan 2018 16:36

Det var länge sedan jag höll på med komplexa tal, men härifrån ska jag skriva om det på formen re^(theta*i)  väl? antar att r=1/2 här då eller? Och hur ska jag bestämma vinkeln? Blir det inte arccos( 1-sqrt(3)) då? Eller är det något uppenbarligen lätt jag missar här!

tomast80 4297
Postad: 11 jan 2018 17:07

Du har tänkt lite fel. Exempelvis gäller följande:

arg(1+i3)=arctan31=... \arg (1+i\sqrt 3) = \arctan \frac{\sqrt 3}{1} = ...

Svara
Close