Komplexa tal, högre grad
Hej
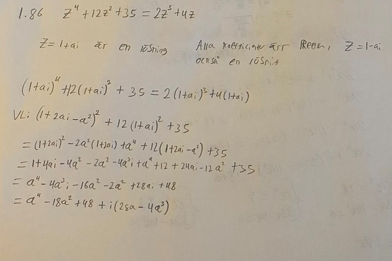
jag vet inte om jag bör fortsätta lösa denna ekvation på detta sätt. Känns som att det tar för lång tid?
sätter in en lösning z = 1 +ai, sedan utvecklar jag VL och HL, därefter är tanken att lösa ut a
Bör man göra på ett snabbare sätt?
tack


Du har en fjärdegradsekvation med reella koefficienter. Det betyder att om du har roten z = 1+ai så har du även roten x = 1-ai. Då har vi två faktorer i polynomet (x-1+ai)(x-1-ai) = (x-1)2-ai2 = x2-2x+1+a2.
Efter det kan du polynomdividera fram en andragradare du kan lösa.
mrpotatohead skrev:Efter det kan du polynomdividera fram en andragradare du kan lösa.
Känns som en lång krånglig väg att polynomdividera med båda rötterna sådär.
Korra skrev:mrpotatohead skrev:Efter det kan du polynomdividera fram en andragradare du kan lösa.
Känns som en lång krånglig väg att polynomdividera med båda rötterna sådär.
Sätt z = 1 + bi
z^4 + 12 z^2 + 35 - 2 z^3 - 14 z=0
blir då
32 - 12 b^2 + b^4 + i (8 b - 2 b^3)=0
dvs
32 - 12 b^2 + b^4=0
8 b - 2 b^3=0
b=0 är en lösning till den 2:a ekv. men ej en lösning till den 1:a varför b=/=0.
Dividera med b i den 2a ekv
8 - 2 b^2=0
b^2=4
b=±2
Båda b löser den första ekv. varför 1±2i är en lösning till ekv.
z^4 + 12 z^2 + 35 - 2 z^3 - 14 z är därmed delbart med (z-(1+2i))(z-(1-2i)) = 5 - 2 z + z^2 och ger
z^4 + 12 z^2 + 35 - 2 z^3 - 14 z = (5 - 2 z + z^2)(7+z^2)
Den sista ekv. 7+z^2=0 löses lätt.