6
svar
162
visningar
komplexa tal i polär form
Hur ska man skriva talet polär form?
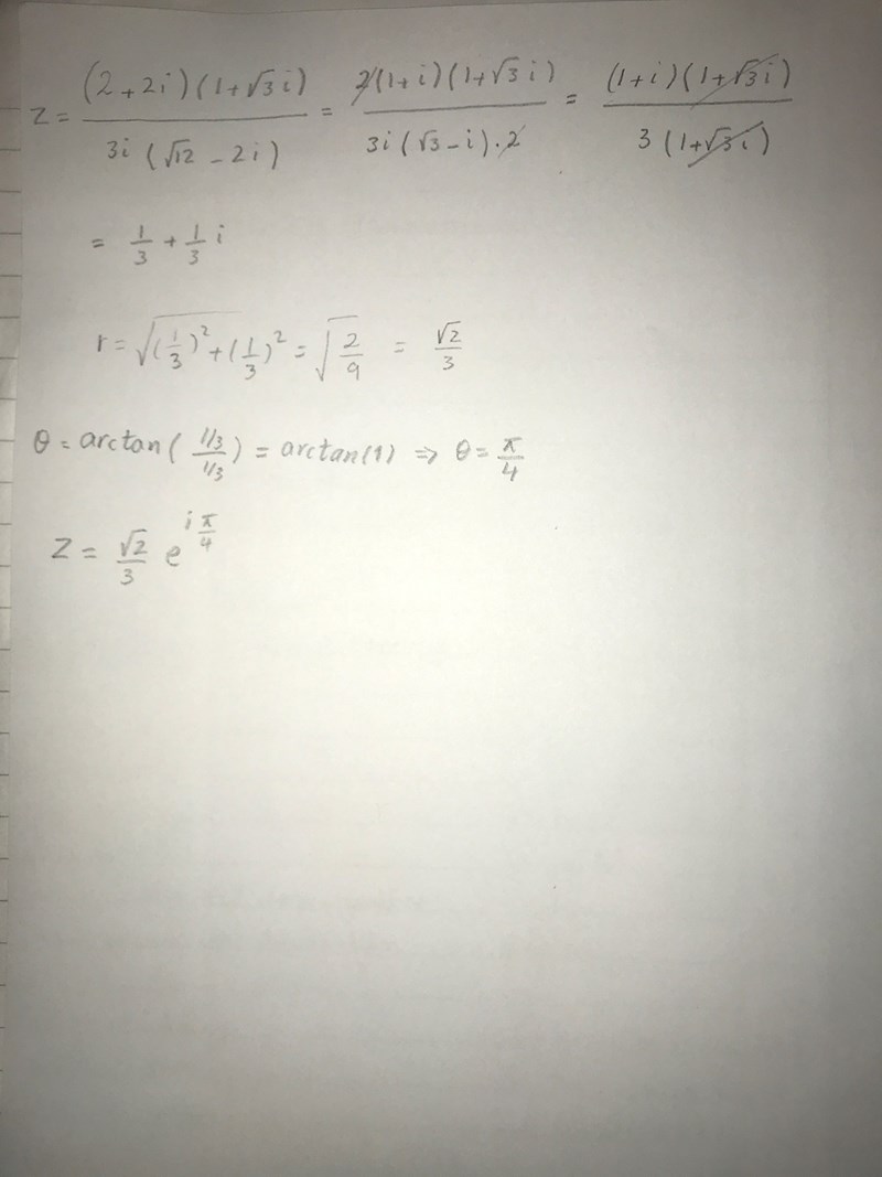
jag kunde skriva om men behöver hjälp med
Är det enklare om du skriver 3i som 0+3i?
Smaragdalena skrev:Är det enklare om du skriver 3i som 0+3i?
Nej jag skrev den så istället:
3(cos men jag är osäker om det är rätt.
alireza6231 skrev:
vi har inte lärt oss denna metod än
det är bara en enkel räkning
alireza6231 skrev:det är bara en enkel räkning
Aa, märkte det nyss.
Tack så mycket!
