4
svar
112
visningar
Komplexa tal (kvadratkomplettering)
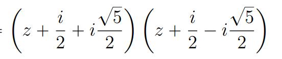
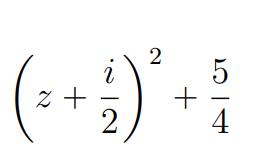
=
Hur har dem gjort detta omskrivning?
Konjugatregeln baklänges.
(a-b)(a+b)=a2-b2
a är i ditt fall z+i/2
b är i ditt fall
Varför är b=isqrt(5)/2 inte sqrt(5)/2?
Så det borde vara:
Marcus N skrev:Varför är b=isqrt(5)/2 inte sqrt(5)/2?
Du behöver i för att i2=-1