1
svar
155
visningar
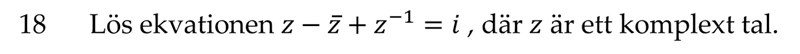
Komplexa tal, lös ekvationen
Hej, jag behöver hjälp med denna uppgift. Jag tror att jag har kommit ganska långt på egen hand, kolla gärna min uträkning och se om jag gjort något fel någonstans samt ge mig gärna något tips tar mig vidare mot svaret :)
Jag är osäker på om jag gjort rätt mot slutet av min uträkning, min hjärna säger åt mig att ta konjugatet men det känns som jag trasslar till det för mig själv.


Vad jag kan se har du räknat rätt.
Nästa steg är att räkna ut täljaren i vänsterledet så att den står på [tal]+i*[tal] formen.
Därefter att förlänga nämnare och täljare med nämnarens konjugat, dvs. (a-b*i).