Komplexa tal på polär form
Hej har stött på en enligt mig klurig uppgift som jag vore tacksam över om någon kunde hjälpa mig med.
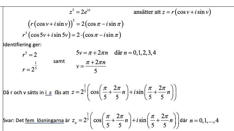
Uppgift

Lösning

Min fråga
Inledningsvis skrivs detta:

1) Varför blir inte r i vänsterled också 2?
2) Varför blir det minus inom parentesen i högerled?
1) Varför skulle det bli 2 i vänsterledet? r^5 är väl bra?
2) Varför det står minustecken kan man fråga sig, men det spelar ingen roll, för sin(pi) är noll.
1) När jag tittar på ursprungsekvationen så motsvarar ju 2 i HL r enligt formeln re^iv. Tänker då att det är samma r i både HL och VL men så är det ju inte alltså? Ska man kanske tänka att ett led måste innehålla en "okänd" variabel för att ekvationen ska gå att lösa ut, och i detta fall väljer man r i VL?
Tack för svar förresten!
Nej, VL skall vara (reiv)5=r5e5iv.
Kanske är trög men jag förstår fortfarande inte hur jag ska "se" att r i VL och HL inte är samma konstant=2?
nyfikenpåattveta skrev:Kanske är trög men jag förstår fortfarande inte hur jag ska "se" att r i VL och HL inte är samma konstant=2?
Det komplexa talet i HL har .
Det komplexa talet i VL ska alltså också ha absolutbeloppet 2.
Men eftersom så måste det gälla att
Juste! Supertack :)