5
svar
187
visningar
Marcus N behöver inte mer hjälp
Komplexa tal-polär form (Jonas Måssons video)

(12940) Komplexa tal del 12 - polär form, räkneregler fortsättning - YouTube
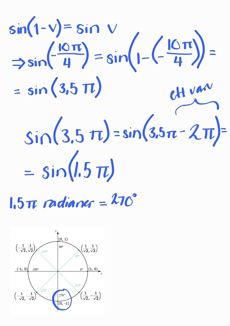
10pi/4= 2,5 pi
ta bort ett helt varv så återstår pi/2
sin(pi/2} = 1
EDIT det var visst neg argument, nåja resonemanget är detsamma
Det blir mycket krångligare när man tar med minus tecken. Men hur kan man vet för säkert att
??
Marcus N skrev:Det blir mycket krångligare när man tar med minus tecken. Men hur kan man vet för säkert att
??
Lägg till ett antal hela varv dvs 2pi*n, eller bättre i detta fall, n*4pi/2
med n = 2 får vi cos(-pi/2) och sin (-pi/2)
Sen måste man veta eller ta fram med hjälp av enhetscirkeln (eller smygtitta i formelsamlingen) att
sin(-a) = -sin(a)
och
cos(-a) = cos(a)
