2
svar
70
visningar
Korra behöver inte mer hjälp
Komplexa tal, reella koefficienter
Hej
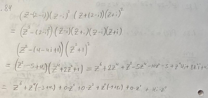
Varför stämmer inte följande? Komplexa talet ska ha reella koefficienter vilket innebär att en lösning alltid har en till lösning som är konjugatet till första lösningen. Det innebär att jag borde kunna gå baklänges på följande sätt. 

Är tacksam för hjälp
EDIT: Tror jag har slarvat med konjugatet. Ska dubbelkolla,
Om p(z) har ett enkelt nollställe z = 2-i så har det även ett enkelt nollställe z = 2+i.
Om p(z) har ett dubbelt nollställe z = i så har det också ett dubbelt nollställe z = -i.
Alltså är p(z) = (z-(2-i))(z-(2+i))(z-i)2(z-(-i))2 = (z-2+i)(z-2-i)(z-i)2(z+i)2.
Du slarvar med tecknen när du tar fram konjugaten - du skall inte ha någon faktor som är (z+2-i).
Tack, nu blev det rätt :)