Komplexa tal (rektangulär form)
hur räknar jag följande uppgift
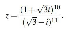
Uttryck z på rektangulär form, a+bi om

Hej!
Börja med att rita ut och i det komplexa planet.
Beskriv dom sedan i polära koordinater och utnyttja sedan de moivres formel.
Tips: om gäller att:
samt
, där , och .
Mitt förslag är att du tar täljare och nämnare var för sig, initialt.
Täljaren: Jag föreslår att du räknar polärt, och nyttjar de Moivres formel.
Jag hjälper dig en bit på vägen:
Samma sak med nämnaren. Då fortsätter du på egen hand.
tomast80 skrev:Tips: om gäller att:
samt
Jag har räknat arg z och fått det till -2 vad gör jag sen
dr_lund skrev:, där , och .
Mitt förslag är att du tar täljare och nämnare var för sig, initialt.
Täljaren: Jag föreslår att du räknar polärt, och nyttjar de Moivres formel.
Jag hjälper dig en bit på vägen:
Samma sak med nämnaren. Då fortsätter du på egen hand.
Jag får , är det korrekt (fick vinkeln till )
Nja, tänk efter. I vilken kvadrant ligger ?
dr_lund skrev:Nja, tänk efter. I vilken kvadrant ligger ?
i fjärde kvadranten alltså , eller?
Yes!
de Moivre blir nästa steg.
dr_lund skrev:Yes!
de Moivre blir nästa steg.
menar du att jag ska använda den här formeln för z1 och z2 och sedan ta z1/z2, eller har jag förståt fel

MatMan skrev:dr_lund skrev:Yes!
de Moivre blir nästa steg.
menar du att jag ska använda den här formeln för z1 och z2 och sedan ta z1/z2, eller har jag förståt fel
Ja precis, och använd det som tomast80 tipsade om.
Moffen skrev:MatMan skrev:dr_lund skrev:Yes!
de Moivre blir nästa steg.
menar du att jag ska använda den här formeln för z1 och z2 och sedan ta z1/z2, eller har jag förståt fel
Ja precis, och använd det som tomast80 tipsade om.
Fick svaret, tack för hjälpen