3
svar
65
visningar
riam behöver inte mer hjälp
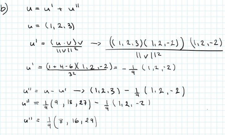
Komposant uppdelning


Vad är det för fel jag gör? Facit säger att u'' blir .
Du ska ta u-u' men du tar u+u'
Du kan se 5e raden tog jag u''= u-u'
Fast u' är negativ så i slutändan blir det plus...