komposantuppdelningen av lin kraft



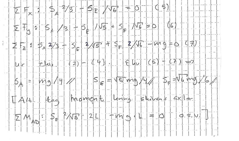
Hej! Jag försöker lösa uppgiften på ett annat sätt. Jag har också skrivit alla linkrafter i vektorform, men till skillnad från facit tänker jag dela upp länkrafterna i deras komponenter för att kunna använda 'jämvikten' och därmed lösa uppgiften. Men problemet blir så här: Om vi studerar linan AO, så kommer den komponent som ligger i planet (golvet) också att behöva delas upp i komponenter. Jag har aldrig stött på ett sådant fall. Hur tänker man då, tänker jag fel?
Det är lite svårt att veta exakt hur du tänker men det låter bra. I princip tror jag faktiskt att din tänkta lösning är väldigt nära det som den bifogade lösningen visar. Om anledningen till att du vill lösa den på annat sätt är att du inte förstår visad lösning så är mitt tips att försöka förstå och räkna igenom den visade. Fråga om det är något du inte förstår med den givna lösningen.
Svaret på din direkta fråga "Hur tänker man" är nog att du har rätt. Du behöver dela upp "horisontalkomposanten" i komposanter. (Det är det de gör i lösningen)
Det syns inte så tydligt i lösningen men de har bestämt sig för ett koordinatsystem där (utan att rita in det). Rita en figur med koordinatsystem. Du kan lägga origo där du känner för de, t.ex. i O.