2
svar
150
visningar
Louiger behöver inte mer hjälp
Kondensator
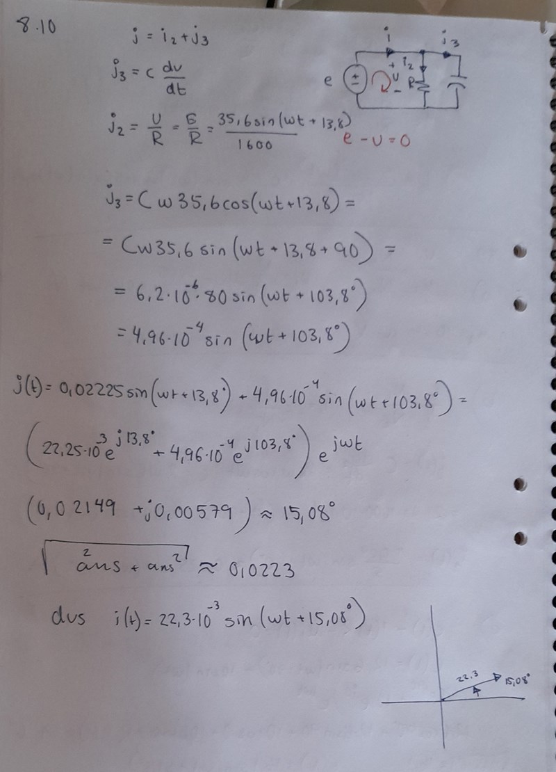
Jag ser/vet ej vad jag gör för fel. Kan ngn hjälpa mig?


Rätt svar är: i(t)=28,4(wt+52,2°) mA
Varför ritar du visardiagram bara på slutet?
Rita också i2 och i3.
Louiger skrev:Jag ser/vet ej vad jag gör för fel. Kan ngn hjälpa mig?
Rätt svar är: i(t)=28,4(wt+52,2°) mA
Kanske bara skrivfel? 