Kondensator

W = U*I*t = U*Q = C*U2
Jan Ragnar skrev:W = U*I*t = U*Q = C*U2
Då ska man integrera över tid, och det ger en faktor ½.
http://hyperphysics.phy-astr.gsu.edu/hbase/electric/capeng.html
Pieter Kuiper skrev:Jan Ragnar skrev:W = U*I*t = U*Q = C*U2
Då ska man integrera över tid, och det ger en faktor ½.
http://hyperphysics.phy-astr.gsu.edu/hbase/electric/capeng.html
Vi har inte gått genom integraler ännu.
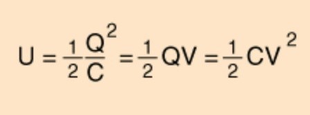
Även om ni inte har härlett det så har ni säkert nämnt att energi hos kondensator ges av
Kolla i din formelsamling och i din bok. Säkert står det något om det sambandet.
Energi hos fältet i laddad kondensatorer kan beräknas:
E=1/2 QU
Jan Ragnar skrev:W = U*I*t = U*Q = C*U2
W står för arbetet i mekanik eller hur? Är det lika med energi nu i ellära?
Marcus N skrev:Jan Ragnar skrev:W = U*I*t = U*Q = C*U2
W står för arbetet i mekanik eller hur? Är det lika med energi nu i ellära?
Arbete är någon form av energi.
SÅ man kunde också skriva:
E=CU^2 ?
Marcus N skrev:SÅ man kunde också skriva:
E=CU^2 ?
Pieter har ju skrivit att det är rätt, men att det fattas en faktor på 1/2
Marcus N skrev:SÅ man kunde också skriva:
E=CU^2 ?
Har du inte orkat klicka på den länk som jag gav?


Kan någon förklarar vad betyder den här lösningen i b)?
Enheten farad F definieras som C/V. Det betyder att kapacitansen i farad multiplicerad med spänningen i volt är lika med laddningen.
Från början har den stora kondensatorn laddningen 0,60 mC. När kretsen sluts kommer en del av de lagrade elektronerna att flytta sig från den stora kondensatorn till den andra. Detta fortsätter tills det har blivit en spänning som är stor nog att balansera de båda kondensatorerna mot varandra.